文章
74
粉丝
0
获赞
5
访问
9.2k

评分及理由
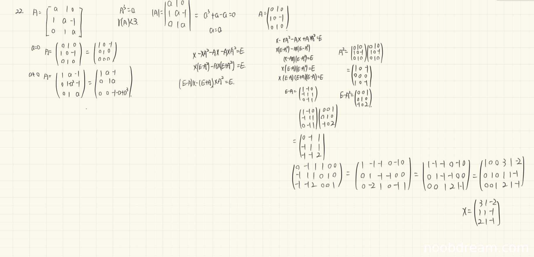
(1)得分及理由(满分11分)
学生通过计算行列式|A|=a³=0得到a=0,这是正确的。但在a≠0时的讨论中,学生错误地假设r(A)=3,与A³=O矛盾(因为若r(A)=3则A可逆,A³≠O)。不过这部分多余讨论不影响主要结论。考虑到学生正确得出a=0,但存在部分错误逻辑,扣1分。
得分:10分
(2)得分及理由(满分11分)
学生在方程变形过程中出现多处错误:
虽然学生尝试用矩阵求逆的思路是正确的,但由于关键步骤的逻辑错误导致结果错误,扣6分。
得分:5分
题目总分:10+5=15分
登录后发布评论
暂无评论,来抢沙发