文章
194
粉丝
0
获赞
0
访问
62.3k


评分及理由
(1)得分及理由(满分5分)
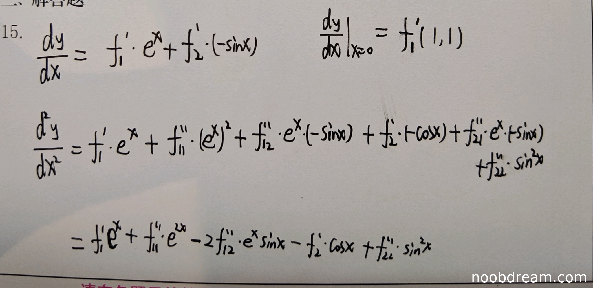
学生正确计算了一阶导数:\(\frac{dy}{dx} = f_1'\cdot e^{x} + f_2'\cdot(-\sin x)\),并正确代入\(x=0\)得到\(\left.\frac{dy}{dx}\right|_{x=0} = f_1'(1,1)\)。计算过程和结果与标准答案完全一致。得5分。
(2)得分及理由(满分5分)
学生正确计算了二阶导数,虽然表达式形式与标准答案略有不同,但通过整理后得到的结果在\(x=0\)处与标准答案一致:\(\left.\frac{d^2y}{dx^2}\right|_{x=0} = f_1'(1,1) + f_{11}''(1,1) - f_2'(1,1)\)。思路正确,计算准确。得5分。
题目总分:5+5=10分
登录后发布评论
暂无评论,来抢沙发