文章
194
粉丝
0
获赞
0
访问
62.4k

评分及理由
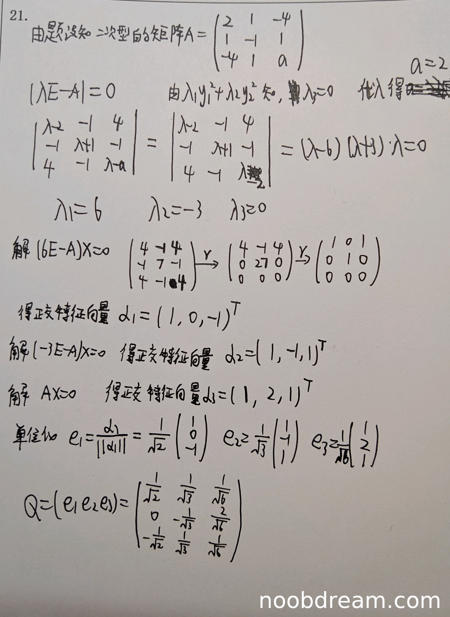
(1)求a的值(满分3分)
学生正确得出a=2,与标准答案一致。虽然第一次识别中行列式计算过程有误写(λ-a写成λ),但第二次识别中已修正为正确形式,且最终结果正确。根据禁止扣分原则,误写不扣分。得3分。
(2)求特征值(满分2分)
学生正确求出特征值λ₁=6,λ₂=-3,λ₃=0,与标准答案完全一致。得2分。
(3)求正交矩阵Q(满分6分)
学生求出了三个特征向量并进行了单位化,但存在以下问题:
由于正交矩阵的列顺序影响标准形中系数的对应关系,这是一个实质性错误。考虑到学生正确完成了单位化等步骤,扣2分。得4分。
题目总分:3+2+4=9分
登录后发布评论
暂无评论,来抢沙发