文章
218
粉丝
0
获赞
0
访问
13.3k

评分及理由
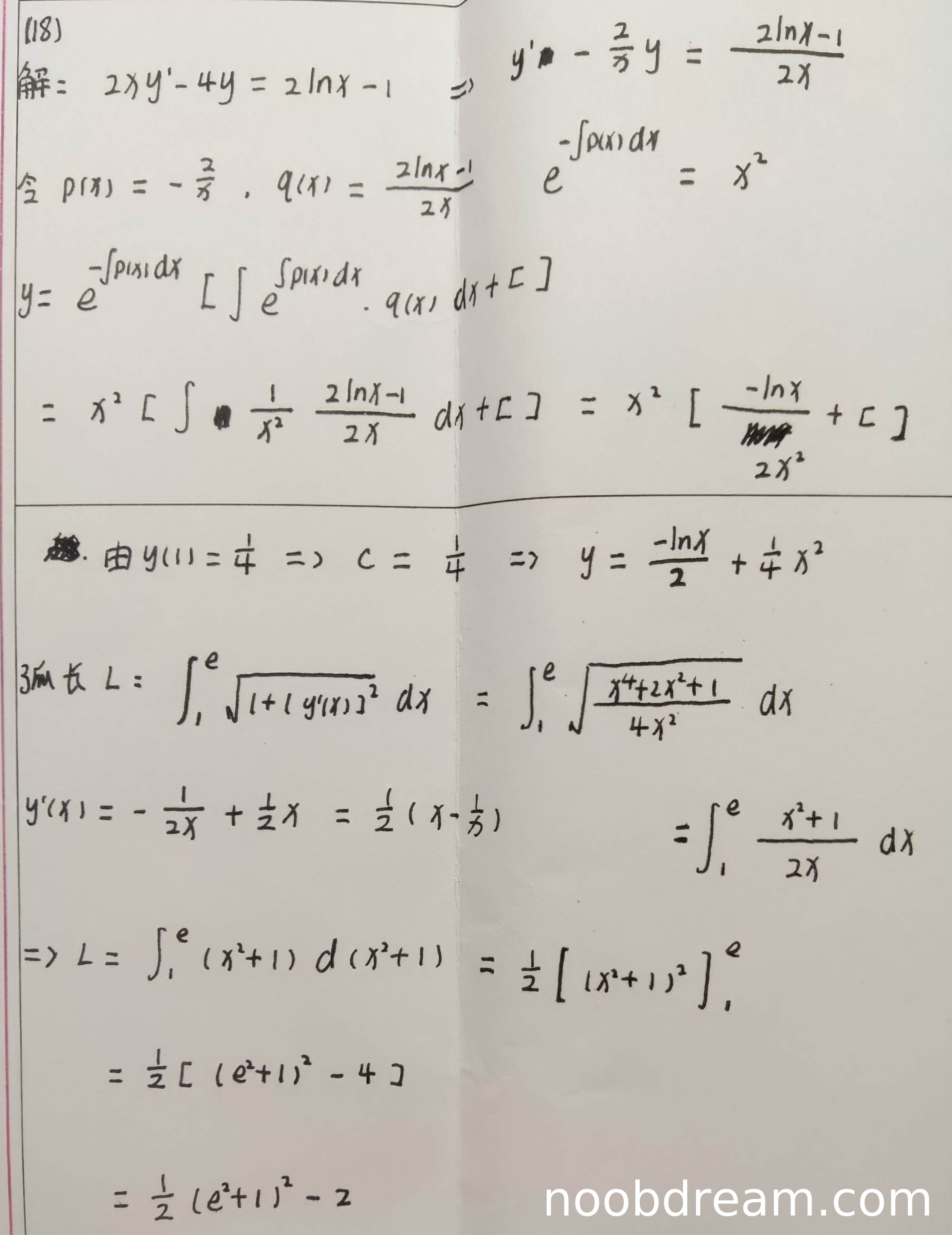
(1)微分方程求解部分得分及理由(满分6分)
学生正确将原方程化为标准形式,正确计算积分因子,并应用通解公式得到通解。在求解积分时,第一次识别结果中直接写出结果为 \(-\frac{\ln x}{2x^2}\),但未展示详细过程;第二次识别结果中通过分部积分详细计算了该积分,过程正确。代入初始条件确定常数 \(C\) 的过程正确。因此微分方程求解部分完全正确,得6分。
(2)弧长计算部分得分及理由(满分6分)
学生正确计算了导数 \(y'\),正确写出弧长公式并化简被积函数为 \(\frac{x^2+1}{2x}\)。在计算积分时,第一次识别结果出现了严重错误:错误地将 \(\int_{1}^{e} \frac{x^2+1}{2x} dx\) 写成 \(\int_{1}^{e} (x^2+1) d(x^2+1)\),这是概念性错误,导致最终结果错误。第二次识别结果正确计算了积分 \(\frac{1}{2}\int_{1}^{e}(x+\frac{1}{x})dx\),得到正确结果 \(\frac{1}{4}(e^2+1)\)。但由于第一次识别存在逻辑错误,且最终给出的答案中包含了错误结果,根据评分要求"对于有逻辑错误的答案不要给满分",扣2分。得4分。
题目总分:6+4=10分
登录后发布评论
暂无评论,来抢沙发