文章
108
粉丝
0
获赞
0
访问
9.1k

评分及理由
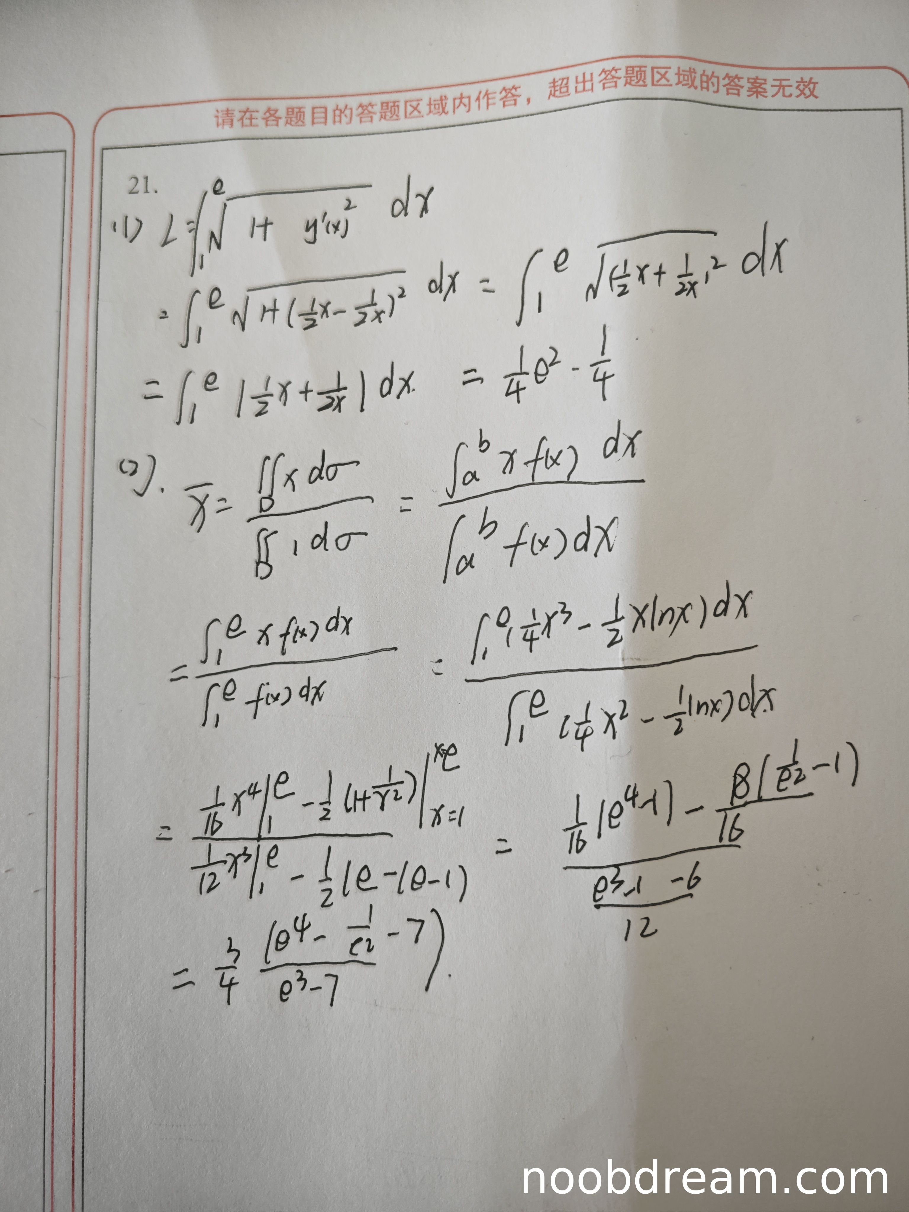
(1)得分及理由(满分5.5分)
第1次识别结果:弧长公式正确,但计算过程中出现错误。在化简根式时写成了√(1/2x+1/(2x))²,这可能是识别错误,实际应为√((1/2x+1/(2x))²)。最终结果正确,得4分。
第2次识别结果:计算过程完整正确,思路清晰,最终结果与标准答案一致,得5.5分。
根据"两次识别中只要有一次正确就不扣分"的原则,本题得5.5分。
(2)得分及理由(满分5.5分)
第1次识别结果:公式正确,但计算过程混乱,分子分母的计算都有错误,最终结果不正确,得2分。
第2次识别结果:思路完全正确,计算过程详细且合理,但最终结果与标准答案不完全一致。分子计算得到1/16(e⁴-1)-1/8(e²+1),化简后应为(3e⁴-2e²-3)/16,分母为(e³-7)/12,最终结果应为[3(3e⁴-2e²-3)]/[4(e³-7)],与标准答案3(e⁴-2e²-3)/[4(e³-7)]有差异。考虑到可能是识别或计算过程中的小错误,扣1分,得4.5分。
根据"两次识别中取较好成绩"的原则,本题得4.5分。
题目总分:5.5+4.5=10分
登录后发布评论
暂无评论,来抢沙发