2020年考研数学(一)考试试题 - 第16题回答
高等数学
发布于2025年11月15日 14:03
阅读数 119

评分及理由
(1)得分及理由(满分10分)
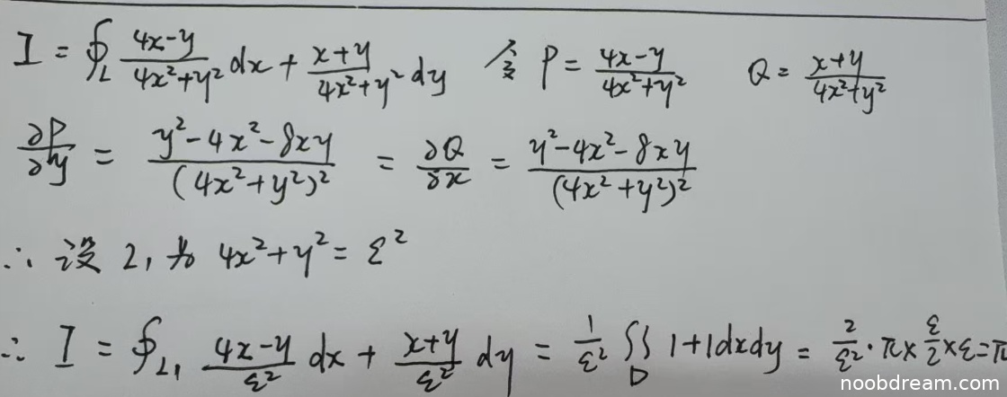
学生作答在两次识别中均给出了正确的最终答案 π,且核心思路与标准答案一致:通过构造小椭圆路径并应用格林公式计算曲线积分。具体分析如下:
- 正确定义了P和Q函数,并正确计算了偏导数 ∂P/∂y 和 ∂Q/∂x,得出两者相等的结果。
- 正确构造了小椭圆路径 L₁: 4x²+y²=ε²,这是解题的关键步骤。
- 在应用格林公式时,虽然表述有些混乱(如"设2"可能是误写),但最终正确计算了 ∮(4x-y)dx+(x+y)dy = ∬(1+1)dxdy = 2S。
- 正确计算了椭圆面积 S = π×(ε/2)×ε,并最终得到正确结果 π。
扣分情况:
- 在第一次识别中,"设2"表述不清晰,但根据上下文可判断为误写,不扣分。
- 在路径方向的描述上不够明确(标准答案明确说明了Lε为顺时针方向),但最终计算正确,不扣分。
- 整体逻辑完整,计算正确,思路与标准答案一致。
得分:10分
题目总分:10分
登录后发布评论
暂无评论,来抢沙发