2020年考研数学(一)考试试题 - 第18题回答
高等数学
发布于2025年11月15日 14:03
阅读数 154

评分及理由
(1)得分及理由(满分10分)
学生作答存在以下问题:
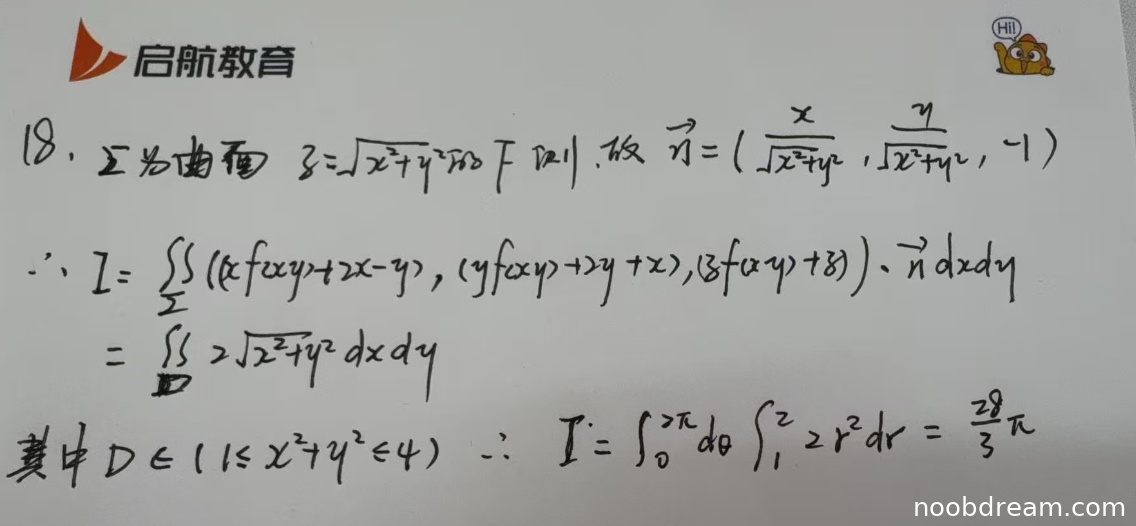
- 在第一次识别中,向量场第三分量写为“3f(xy)+z”,应为“zf(xy)+z”,这可能是识别错误,但导致后续计算错误。
- 在第二次识别中,向量场第一分量写为“xf(x,y)”,应为“xf(xy)”,且第三分量写为“3f(x,y)+3”,应为“zf(xy)+z”,这些错误导致表达式不正确。
- 最终计算得到I = ∬D 2√(x²+y²) dxdy,而正确答案应为∬D √(x²+y²) dxdy,说明在点积计算过程中存在逻辑错误。
- 最终结果28π/3与正确答案14π/3不符。
但学生正确识别了曲面法向量(考虑了下侧),正确转换为二重积分区域D,并正确使用了极坐标计算。考虑到部分错误可能是识别问题,但核心逻辑错误(系数2)导致结果错误。
扣分:思路基本正确但计算过程有误,扣除4分。
得分:6分
题目总分:6分
登录后发布评论
暂无评论,来抢沙发