文章
194
粉丝
0
获赞
0
访问
61.1k

评分及理由
(1)得分及理由(满分5.5分)
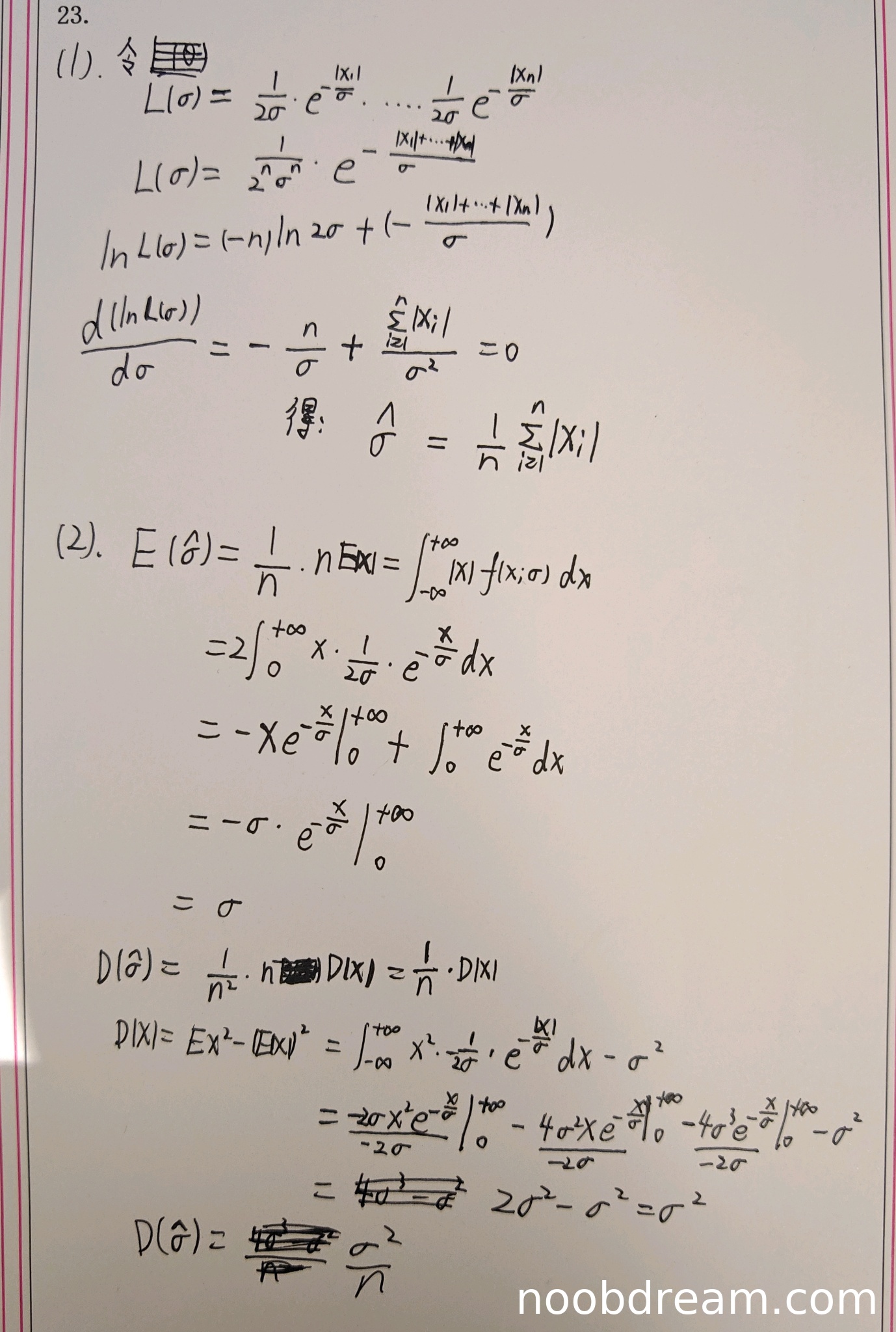
学生正确构建了似然函数,取对数后求导并解得最大似然估计量 \(\hat{\sigma} = \frac{1}{n}\sum_{i=1}^{n}|X_i|\),步骤完整且结果正确。第一次识别中 \(\ln L(\sigma)\) 表达式有误(应为 \(-n\ln(2\sigma)\) 但写成了 \((-n)\ln 2\sigma\),但最终求导结果正确),第二次识别完全正确。根据误写不扣分原则,不扣分。得5.5分。
(2)得分及理由(满分5.5分)
学生正确计算了 \(E(\hat{\sigma}) = \sigma\) 和 \(D(\hat{\sigma}) = \frac{\sigma^2}{n}\)。第一次识别中 \(D|X|\) 的计算过程有冗余步骤(如多余的分部积分),但最终结果正确;第二次识别计算简洁正确。根据核心逻辑正确不扣分原则,得5.5分。
题目总分:5.5+5.5=11分
登录后发布评论
暂无评论,来抢沙发