文章
278
粉丝
0
获赞
1
访问
106.2k

评分及理由
(1)得分及理由(满分6分)
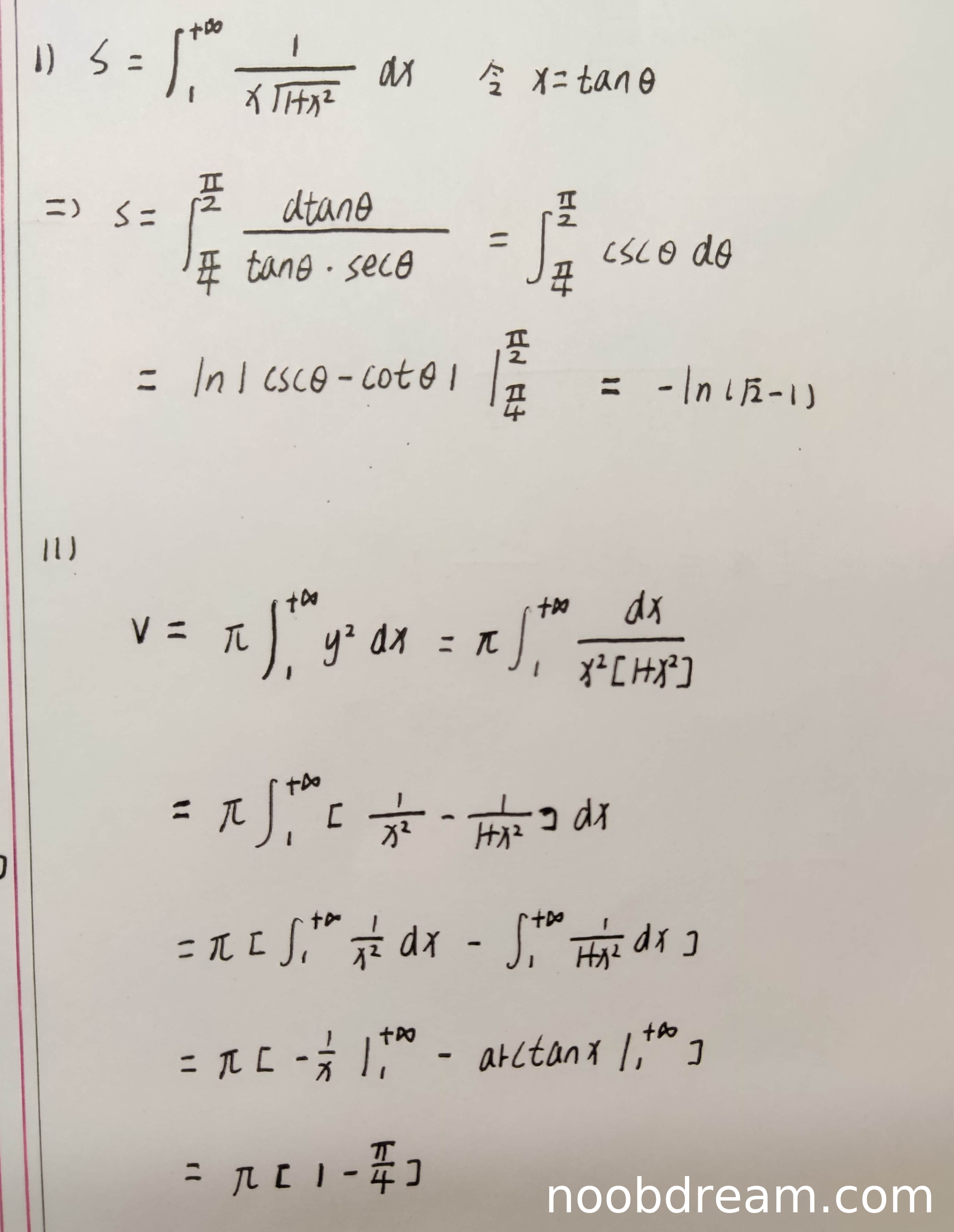
学生使用三角代换法计算面积:令 \( x = \tan\theta \),得到 \( S = \int_{\pi/4}^{\pi/2} \csc\theta \, d\theta = \left. \ln|\csc\theta - \cot\theta| \right|_{\pi/4}^{\pi/2} = -\ln(\sqrt{2}-1) \)。
标准答案使用代换 \( t = 1/x \),得到 \( S = \ln(1+\sqrt{2}) \)。
注意到 \( -\ln(\sqrt{2}-1) = \ln\left(\frac{1}{\sqrt{2}-1}\right) = \ln(\sqrt{2}+1) \),与标准答案一致。
思路正确,计算准确,得满分6分。
(2)得分及理由(满分6分)
学生正确写出旋转体体积公式 \( V = \pi \int_1^{+\infty} y^2 dx \),代入 \( y = \frac{1}{x\sqrt{1+x^2}} \) 得到 \( V = \pi \int_1^{+\infty} \frac{dx}{x^2(1+x^2)} \)。
正确分解为部分分式:\( \frac{1}{x^2(1+x^2)} = \frac{1}{x^2} - \frac{1}{1+x^2} \)。
正确计算积分:\( \pi\left[ -\frac{1}{x} - \arctan x \right]_1^{+\infty} = \pi\left[ 1 - \frac{\pi}{4} \right] \)。
与标准答案完全一致,得满分6分。
题目总分:6+6=12分
登录后发布评论
暂无评论,来抢沙发