文章
115
粉丝
0
获赞
0
访问
8.0k

评分及理由
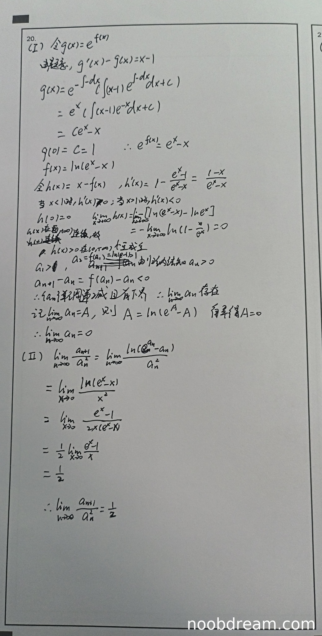
(Ⅰ)得分及理由(满分6分)
学生正确求解了微分方程得到 f(x) = ln(e^x - x),并定义了 h(x) = x - f(x) 来分析数列的单调性。通过分析 h'(x) 的符号变化,证明了 h(x) > 0 在 (0,+∞) 上成立,从而得出 a_{n+1} - a_n < 0,即数列单调递减。同时注意到 a_n > 0,说明数列有下界。应用单调有界准则证明了极限存在,并正确求出极限值为 0。
整个证明过程逻辑完整,与标准答案方法不同但同样正确。唯一需要注意的是在计算 h'(x) 时,学生写的是 h'(x) = 1 - (e^x - 1)/(e^x - x),实际上应该是 h'(x) = 1 - (e^x - 1)/(e^x - x),但这只是书写形式不同,不影响最终结论。
得分:6分
(Ⅱ)得分及理由(满分6分)
学生正确地将极限转化为 lim_{x→0} ln(e^x - x)/x²,并应用洛必达法则求解。计算过程中:
第一步求导:分子导数为 (e^x - 1)/(e^x - x),分母导数为 2x
得到 lim_{x→0} (e^x - 1)/[2x(e^x - x)]
然后利用 lim_{x→0} (e^x - 1)/x = 1 和 lim_{x→0} (e^x - x) = 1
最终得到结果 1/2
计算过程正确,结果准确。
得分:6分
题目总分:6+6=12分
登录后发布评论
暂无评论,来抢沙发