2026年李永乐冲刺6套卷(三) - 第22题回答
概率论
发布于2025年11月18日 16:53
阅读数 222
1)


2)


3)


评分及理由
(1)得分及理由(满分4分)
得分:4分
理由:
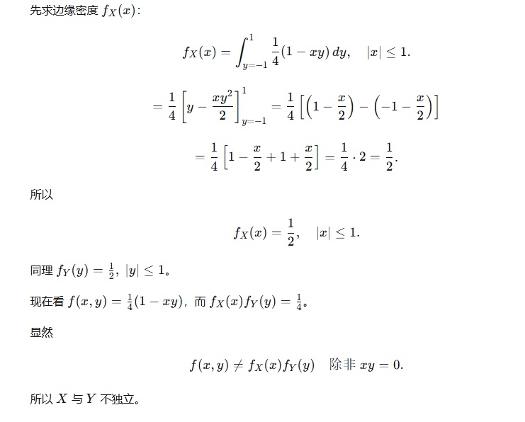
- 正确计算了X和Y的边缘概率密度,得到f_X(x)=1/2,f_Y(y)=1/2
- 正确判断X与Y不独立,因为f(x,y)≠f_X(x)f_Y(y)
- 通过计算|X|和|Y|的联合分布,得到g(u,v)=1,证明|X|与|Y|相互独立
- 正确推导出X²与Y²相互独立
- 思路与标准答案不同但正确,不扣分
(2)得分及理由(满分4分)
得分:4分
理由:
- 正确计算了(U,V)的联合分布,得到P(U=0,V=0)=1/4,P(U=0,V=1)=1/4,P(U=1,V=0)=1/4,P(U=1,V=1)=1/4
- 正确计算了边缘分布,P(U=0)=1/2,P(U=1)=1/2,P(V=0)=1/2,P(V=1)=1/2
- 正确判断U与V相互独立,因为p_ij=p_i·p_·j
- 计算过程完整正确
(3)得分及理由(满分4分)
得分:4分
理由:
- 正确计算了P{U+V≤3/2|U=1}=P{V=0|U=1}=1/2
- 正确计算了条件概率密度f_{Y|X}(y|1)=(1-y)/2
- 正确计算了P{X+Y≤3/2|X=1}=P{Y≤1/2|X=1}=15/16
- 积分计算过程正确
题目总分:4+4+4=12分
登录后发布评论
暂无评论,来抢沙发