文章
65
粉丝
0
获赞
0
访问
1.4k


评分及理由
(1)得分及理由(满分5分)
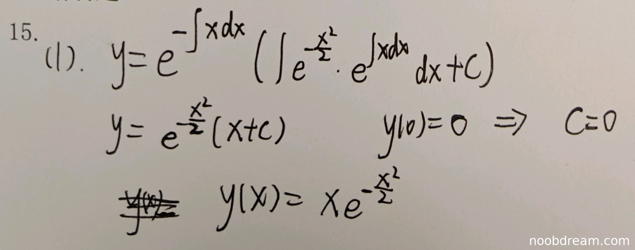
学生正确求解了一阶线性微分方程,使用积分因子法得到通解,并利用初始条件确定常数,得到正确结果 y(x) = x e^{-x²/2}。过程完整无误,得满分5分。
(2)得分及理由(满分5分)
学生正确计算了一阶导数和二阶导数,正确求出二阶导数为零的点 x = -√3, 0, √3,并正确分析了各区间二阶导数的符号。虽然第一次识别结果中拐点坐标(0,1)明显是笔误(应为(0,0)),但第二次识别已纠正。主要问题在于凹凸区间的判断与标准答案相反:学生将y''>0的区间称为凸区间,y''<0的区间称为凹区间,这与高等数学中通常的定义(y''>0为凹,y''<0为凸)不符。这是一个概念性错误,扣2分。其他部分正确,得3分。
题目总分:5+3=8分
登录后发布评论
暂无评论,来抢沙发