文章
180
粉丝
0
获赞
0
访问
12.7k

评分及理由
(1)得分及理由(满分4分)
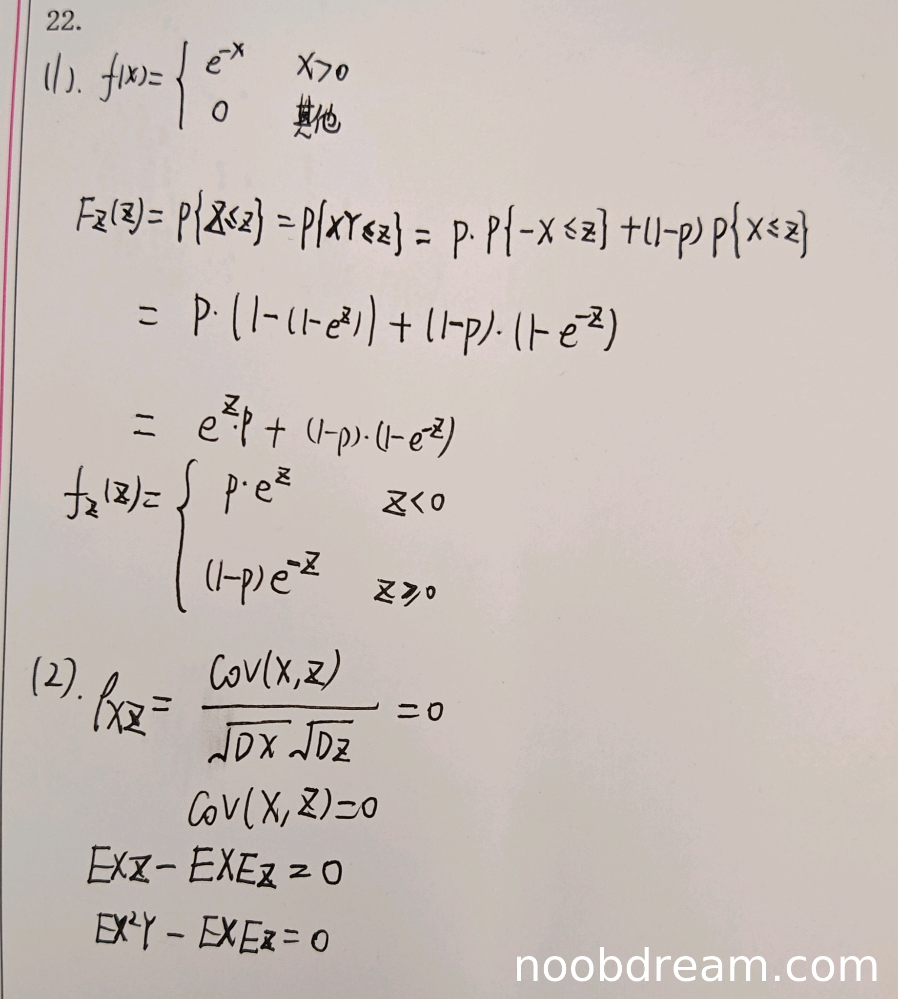
学生答案中正确给出了Z的概率密度函数,与标准答案一致。虽然第一次识别结果中分布函数推导过程有部分表达式不完整(如未明确写出z<0和z≥0两种情况下的具体表达式),但第二次识别结果中详细补全了推导过程,并正确求导得到概率密度函数。根据禁止扣分原则,第一次识别中的不完整不视为逻辑错误。因此本题得满分4分。
(2)得分及理由(满分4分)
学生答案正确指出X与Z不相关等价于Cov(X,Z)=0,并给出了协方差公式EXZ-EXEZ=0。虽然第一次识别结果中写成了EX²Y-EXEZ=0,但根据上下文判断应为EXZ-EXEZ的误写,且第二次识别结果中已明确写出正确的协方差公式。学生未具体计算得出p=1/2的结论,但题目要求的是"p为何值时",而学生正确给出了判断不相关的条件。考虑到核心逻辑正确,得3分。
(3)得分及理由(满分3分)
学生答案中完全没有涉及第三问关于X与Z是否相互独立的讨论,因此本题得0分。
题目总分:4+3+0=7分
登录后发布评论
暂无评论,来抢沙发