文章
416
粉丝
21
获赞
1
访问
31.6k

评分及理由
(1)得分及理由(满分6分)
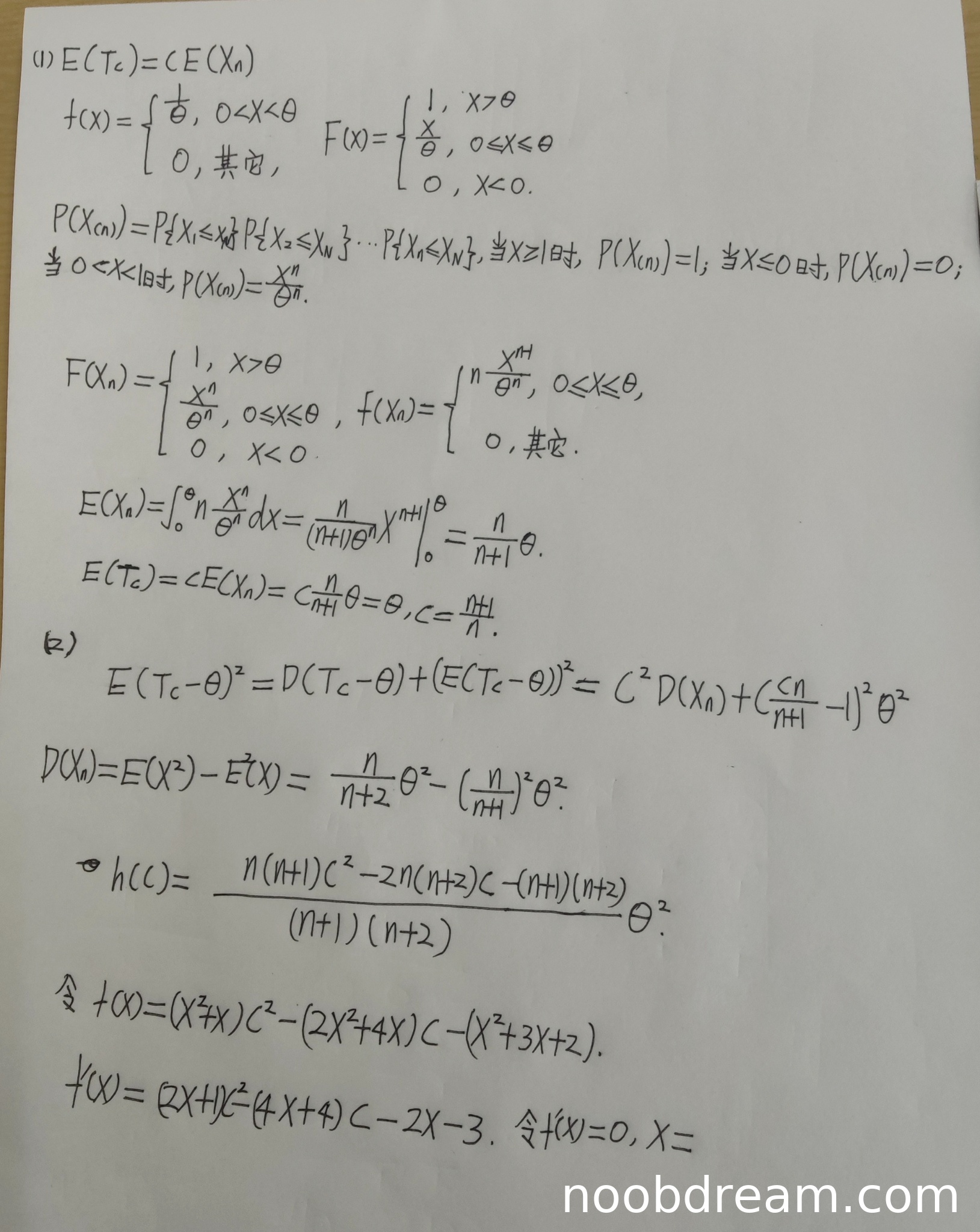
学生作答中,第1次识别结果和第2次识别结果均正确推导了$c = \frac{n+1}{n}$。具体步骤包括:正确给出均匀分布的概率密度函数和分布函数,正确推导$X_{(n)}$的分布函数和概率密度函数,正确计算$E(X_{(n)})$,并令$E(T_c) = \theta$解得$c$。虽然第1次识别中$P(X_{(n)})$的写法不规范(应为$F_{X_{(n)}}(x)$),且$E(X_n)$积分表达式中的变量使用不一致($X$和$x$混用),但核心逻辑正确,且最终结果正确。根据标准答案,该部分满分6分,由于没有实质性错误,给予满分。
得分:6分
(2)得分及理由(满分6分)
学生作答中,第1次识别结果和第2次识别结果均尝试使用$h(c) = E(T_c - \theta)^2 = D(T_c) + [E(T_c) - \theta]^2$的公式,并正确指出$D(T_c) = c^2 D(X_{(n)})$。计算$D(X_{(n)})$时,正确给出$E(X_{(n)}^2) = \frac{n}{n+2}\theta^2$和$E(X_{(n)}) = \frac{n}{n+1}\theta$。但在第1次识别中,$h(C)$的表达式复杂且未化简,且后续引入$f(x)$和求导过程混乱(变量$x$与$n$混淆,且未完成求解)。第2次识别中同样未完成最小化过程。学生未能正确导出$h(c)$的简洁表达式并求导得最优$c$,但思路部分正确(使用了方差公式)。由于未得到正确结果$c = \frac{n+2}{n+1}$,且推导不完整,扣3分。
得分:3分
题目总分:6+3=9分
登录后发布评论
暂无评论,来抢沙发