文章
48
粉丝
0
获赞
0
访问
23.9k

评分及理由
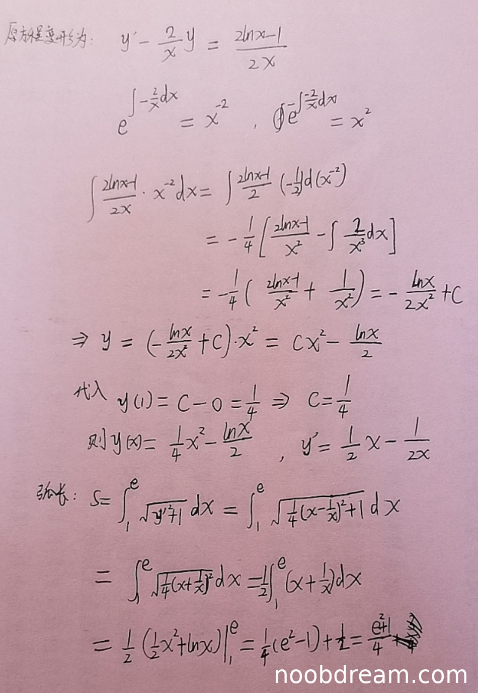
(1)微分方程求解部分得分及理由(满分4分)
学生正确将原方程整理为一阶线性微分方程形式,并正确使用积分因子法求解。虽然积分过程写法与标准答案略有不同,但最终得到正确通解形式 $y=Cx^2-\frac{\ln x}{2}$,并正确利用初值条件确定常数 $C=\frac{1}{4}$。此部分完全正确,得4分。
(2)导数计算部分得分及理由(满分2分)
学生正确计算出 $y'=\frac{1}{2}x-\frac{1}{2x}$,与标准答案一致。此部分完全正确,得2分。
(3)弧长计算部分得分及理由(满分6分)
学生正确写出弧长公式 $S=\int_{1}^{e}\sqrt{1+y'^2}dx$,并正确化简被积函数:
$\sqrt{1+(\frac{1}{2}x-\frac{1}{2x})^2}=\sqrt{\frac{1}{4}(x+\frac{1}{x})^2}=\frac{1}{2}(x+\frac{1}{x})$
正确计算定积分 $\frac{1}{2}\int_{1}^{e}(x+\frac{1}{x})dx$,并得到最终正确结果 $\frac{e^2+1}{4}$。此部分完全正确,得6分。
题目总分:4+2+6=12分
登录后发布评论
暂无评论,来抢沙发