文章

48

粉丝

0

获赞

0

访问

23.9k

头像
2022年考研数学(二)考试试题 - 第19题回答
高等数学
发布于2025年11月19日 12:58
阅读数 398


评分及理由

(1)得分及理由(满分12分)

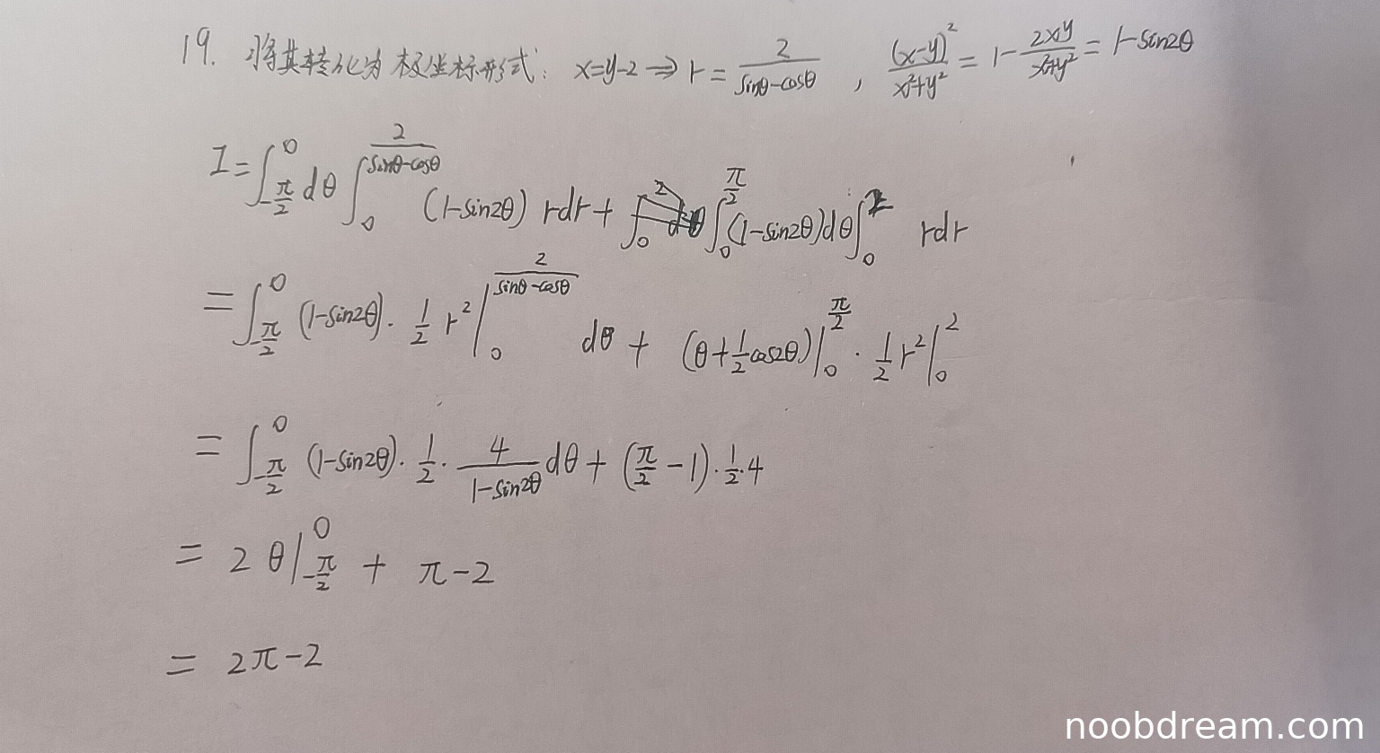
学生作答在极坐标转换和积分计算过程中存在多处逻辑错误:

  1. 区域划分错误:学生将积分区域分为θ从-π/2到0和0到π/2两部分,这与标准答案中0到π/2和π/2到π的划分不一致,且θ=-π/2到0的划分不符合题目给出的区域D的定义。
  2. 被积函数化简错误:学生将(cosθ-sinθ)²错误地化简为1-sin2θ,实际上(cosθ-sinθ)² = 1-2sinθcosθ = 1-sin2θ,这一化简是正确的,但在后续计算中处理不当。
  3. 积分限设置错误:在第二部分积分中,学生写成了∫₀² dθ∫₀^(π/2)(1-sin2θ)dθ∫₀² rdr,这明显是积分限设置混乱,出现了三重积分的形式。
  4. 计算过程混乱:在具体计算过程中,学生的步骤组织不清晰,存在积分符号使用不当的问题。

尽管最终答案正确(2π-2),但这是偶然的,因为过程中的多个错误相互抵消。考虑到存在严重的逻辑错误和区域划分错误,扣6分。

得分:6分

题目总分:6分

登录查看完整内容


登录后发布评论

暂无评论,来抢沙发