文章
48
粉丝
0
获赞
0
访问
24.0k

评分及理由
(1)得分及理由(满分6分)
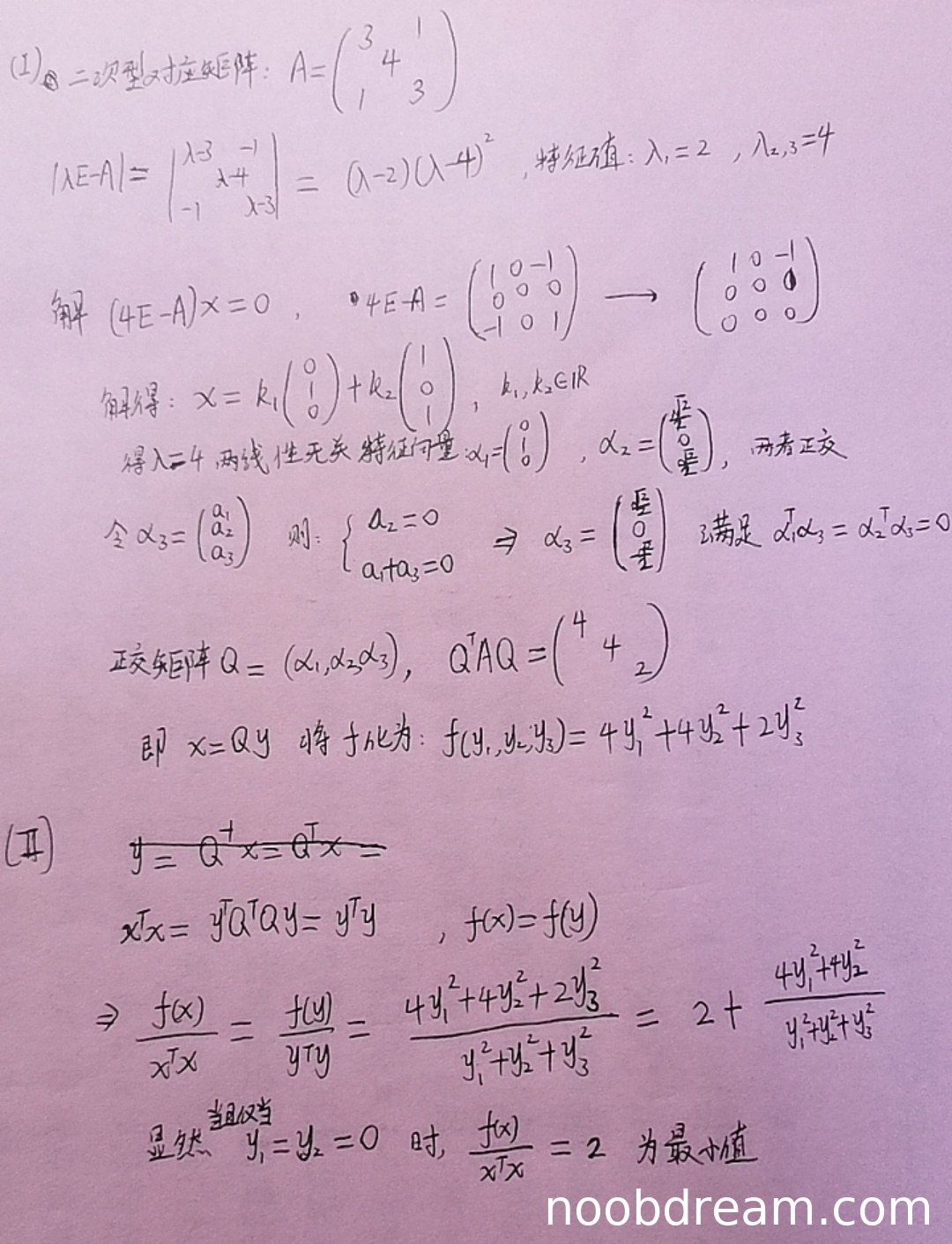
第1次识别结果:学生给出的二次型矩阵A错误(应为3×3矩阵,但写成了2×2矩阵),特征值计算虽然结果正确但过程基于错误矩阵。特征向量求解过程混乱,单位化向量有误(如α₂的分母未写),正交矩阵构造错误。最终标准形正确但推导过程存在多处逻辑错误。扣分:矩阵错误扣2分,特征向量求解错误扣2分,单位化错误扣1分。得1分。
第2次识别结果:二次型矩阵A错误(与题目不符),特征多项式计算错误,特征向量求解错误(如α₁,α₂不满足正交),正交矩阵构造错误。但最终标准形正确。扣分:矩阵错误扣2分,特征值计算错误扣1分,特征向量错误扣2分。得1分。
综合两次识别,取较高得分1分。
(2)得分及理由(满分6分)
第1次识别结果:学生正确利用正交变换下xᵀx=yᵀy的性质,并将f(x)/xᵀx转化为标准形比值。通过代数变形得出最小值2,逻辑基本正确。但最后结论中“当且仅当”表述不够严谨(应为“当y₁=y₂=0时取到最小值”)。扣1分。得5分。
第2次识别结果:同样正确利用正交变换性质,将比值转化为标准形形式,并通过拆分表达式说明最小值2。逻辑正确,结论成立。得6分。
综合两次识别,取较高得分6分。
题目总分:1+6=7分
登录后发布评论
暂无评论,来抢沙发