文章

509

粉丝

0

获赞

1

访问

192.5k

头像
2025年考研数学(二)考试试题 - 第17题回答
高等数学
发布于2025年11月19日 21:18
阅读数 516


评分及理由

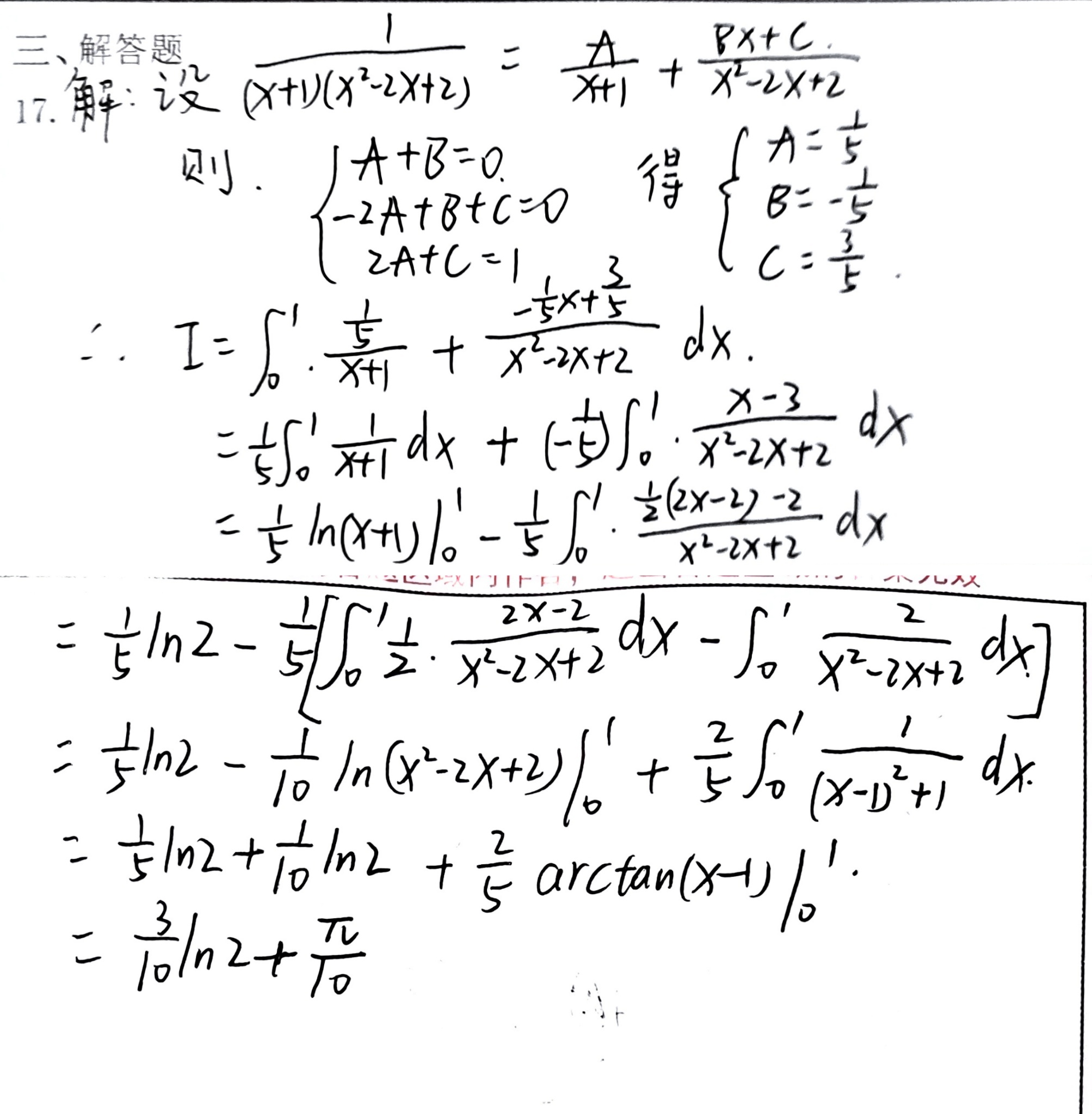
(1)部分分式分解(满分2分)

学生正确设定了部分分式分解形式,并建立了方程组。解方程组得到 A=1/5, B=-1/5, C=3/5,与标准答案一致。此部分完全正确,得2分。

(2)积分计算过程(满分6分)

学生将积分拆分为两部分计算:

  • 第一项 ∫1/(x+1)dx 计算正确,得1分
  • 第二项处理时,学生将分子 x-3 变形为 (1/2)(2x-2)-2,这是正确的思路,得1分
  • 在计算 ∫(2x-2)/(x²-2x+2)dx 时,学生正确得到 (1/2)ln|x²-2x+2|,但在代入上下限时出现错误:ln1-ln2 = -ln2,但学生写成了 -1/2 ln2,这是计算错误,扣1分
  • 在计算 ∫2/(x²-2x+2)dx 时,学生正确配方为 ∫2/[(x-1)²+1]dx,但在计算定积分时出现错误:2[arctan0 - arctan(-1)] = 2[0 - (-π/4)] = π/2,学生计算正确,得1分
  • 综合第二项计算,虽然有部分错误,但主要思路正确,得4分(满分5分)

此部分得5分(满分6分)。

(3)最终结果(满分2分)

学生最终得到的结果为 (3/10)ln2 + π/10,与标准答案完全一致。虽然计算过程中有错误,但最终结果正确,按照数学考试惯例,结果正确通常给满分。得2分。

题目总分:2+5+2=9分

登录查看完整内容


登录后发布评论

暂无评论,来抢沙发