2025年考研数学(二)考试试题 - 第18题回答
高等数学
发布于2025年11月19日 21:18
阅读数 613

评分及理由
(1)得分及理由(满分12分)
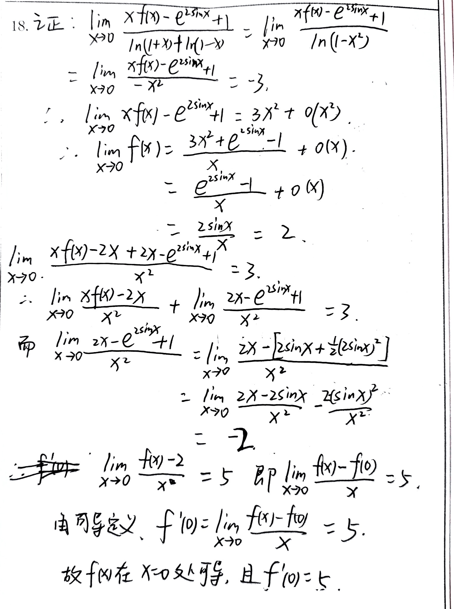
学生作答整体思路正确,主要步骤与标准答案一致:
- 正确使用等价无穷小替换:\(\ln(1+x)+\ln(1-x) \sim -x^2\)
- 正确展开\(e^{2\sin x}\)的泰勒公式
- 正确拆分极限表达式
- 最终得出\(f'(0)=5\)的结论正确
但存在以下问题:
- 在第2步中,学生写出\(\lim\limits_{x \to 0} f(x)=\frac{3x^{2}+e^{2\sin x}-1}{x}+o(x)\),此处的极限符号使用不当,应该是等式关系而非极限
- 在第3步计算\(\lim\limits_{x \to 0} f(x)\)时,忽略了\(3x^2\)项,直接得到\(f(x)=\frac{e^{2\sin x}-1}{x}+o(x)\),这一步骤不够严谨
- 在第5步中,计算\(\lim\limits_{x \to 0} \frac{2x - e^{2\sin x}+1}{x^{2}}\)时,展开式中\(\frac{1}{2}(2\sin x)^2\)应为\(2\sin^2 x\),学生计算正确但表达不够规范
由于这些逻辑上的不严谨,扣2分。
得分:10分
题目总分:10分
登录后发布评论
暂无评论,来抢沙发