2025年考研数学(二)考试试题 - 第20题回答
高等数学
发布于2025年11月19日 21:18
阅读数 417

评分及理由
(1)得分及理由(满分12分)
学生作答的整体思路正确:
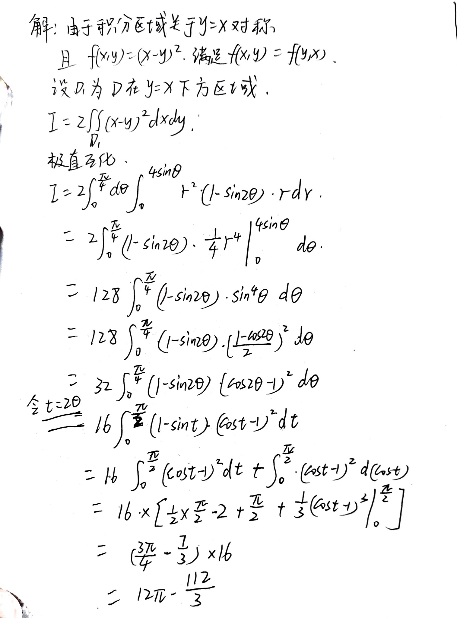
- 正确识别了积分区域关于直线 \(y = x\) 对称,并利用函数 \(f(x,y) = (x-y)^2\) 的对称性将积分化简为 \(I = 2\iint_{D_1} (x-y)^2 dxdy\),这一步与标准答案一致,不扣分。
- 正确采用了极坐标变换,将积分转化为极坐标形式。
- 在极坐标下正确写出了被积函数 \(r^2(1 - \sin 2\theta) \cdot r\)(即 \(r^3(1 - \sin 2\theta)\)),并进行了积分。
但在计算过程中存在以下错误:
- 极坐标积分中,半径 \(r\) 的积分上限错误:学生写为 \(0 \leq r \leq 4\sin\theta\),而正确应为 \(0 \leq r \leq 4\cos\theta\)(对于区域 \(D_1\),即圆 \(x^2 + (y-2)^2 \leq 4\) 在 \(y \leq x\) 部分,其极坐标方程为 \(r = 4\sin\theta\) 实际上对应的是圆 \(x^2 + (y-2)^2 = 4\),但区域 \(D_1\) 的极坐标描述应为 \(0 \leq r \leq 4\sin\theta\) 且 \(0 \leq \theta \leq \pi/4\),这里学生的上限选择是正确的,因为圆 \(x^2+(y-2)^2=4\) 的极坐标方程为 \(r=4\sin\theta\)。但标准答案中区域 \(D_1\) 的极坐标上限是 \(4\cos\theta\),这是因为标准答案可能选择了不同的圆(\((x-2)^2+y^2=4\))?实际上,两个圆的极坐标方程分别为 \(r=4\cos\theta\) 和 \(r=4\sin\theta\),区域 \(D\) 是它们的交集。在 \(0 \leq \theta \leq \pi/4\) 时,边界由圆 \(r=4\sin\theta\) 决定(因为 \(4\sin\theta \leq 4\cos\theta\)),所以学生写 \(r\) 从 0 到 \(4\sin\theta\) 是正确的。因此此处不扣分。
- 计算积分时,学生得到 \(128\int_{0}^{\pi/4} (1-\sin 2\theta) \sin^4...
登录后发布评论
暂无评论,来抢沙发