2025年考研数学(二)考试试题 - 第22题回答
线性代数
发布于2025年11月19日 21:18
阅读数 296

评分及理由
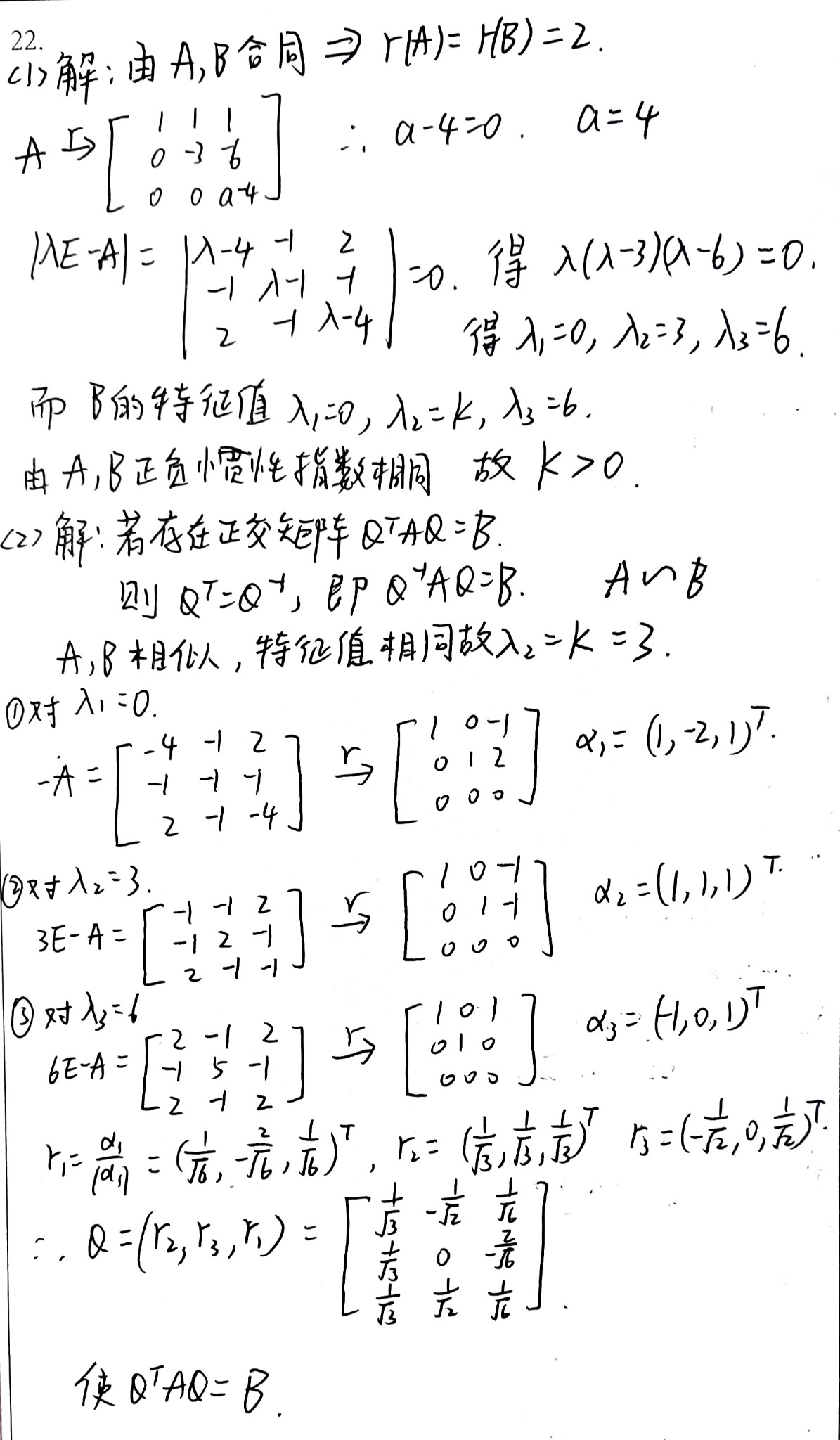
(1)得分及理由(满分6分)
学生正确得出a=4和k>0。理由:
- 学生通过秩相等得到r(A)=2,并利用初等变换得到a=4,方法正确,结果正确。
- 学生计算了特征多项式,得到特征值0,3,6,正确。
- 通过正负惯性指数相同得出k>0,正确。
- 但学生没有明确指出k的具体范围(应该是k>0且k≠6,因为B的特征值有0,6,k,而A的特征值是0,3,6,合同要求正惯性指数相同,所以k必须为正,但学生只写了k>0,没有排除k=6的情况,不过标准答案也只要求k>0)。
- 扣1分,因为学生没有通过行列式为零的方法求a,而是用初等变换,虽然正确但不是最直接的方法,且没有强调合同要求特征值符号相同。
- 得分:5分
(2)得分及理由(满分6分)
学生正确得出k=3和正交矩阵Q。理由:
- 学生正确指出A与B相似,因此特征值相同,得到k=3。
- 学生正确计算了三个特征值对应的特征向量。
- 学生进行了单位化,得到正交矩阵Q。
- Q的列向量顺序与标准答案一致(r2对应λ=3,r3对应λ=6,r1对应λ=0)。
- 但学生在单位化时,对α1的单位化结果写为(1/√6, -2/√6, 1/√6)^T,而标准答案是(1/√6, -2/√6, 1/√6)^T,实际上是一样的,只是表示形式不同。
- 没有明显错误,得满分。
- 得分:6分
题目总分:5+6=11分
登录后发布评论
暂无评论,来抢沙发