文章
17
粉丝
0
获赞
1
访问
1.5k

评分及理由
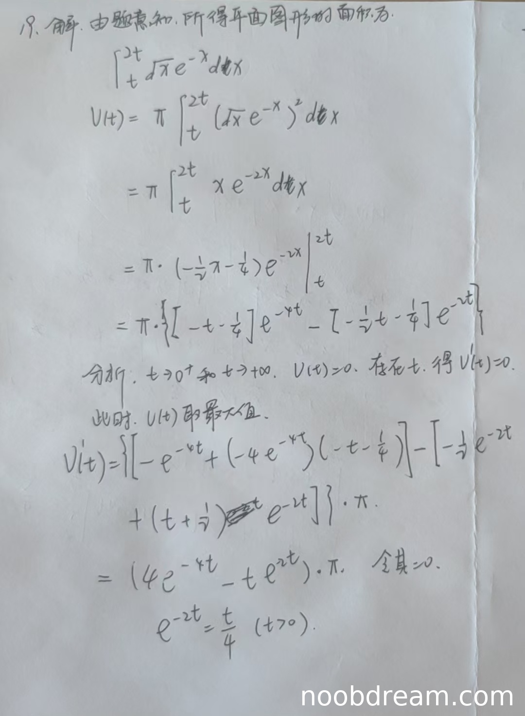
(1)旋转体体积公式(满分2分)
学生正确写出旋转体体积公式 \( V(t) = \pi \int_{t}^{2t} (\sqrt{x} e^{-x})^2 dx = \pi \int_{t}^{2t} x e^{-2x} dx \),与标准答案一致。得2分。
(2)积分计算(满分4分)
学生计算积分 \( \pi \int_{t}^{2t} x e^{-2x} dx \) 时,使用分部积分法得到原函数 \( \pi \cdot \left(-\frac{1}{2}x - \frac{1}{4}\right) e^{-2x} \),但该原函数求导后不等于被积函数 \( x e^{-2x} \),正确原函数应为 \( \pi \cdot \left(-\frac{1}{2}x - \frac{1}{4}\right) e^{-2x} \) 的推导有误,实际上正确原函数为 \( \pi \cdot \left(-\frac{1}{2}x - \frac{1}{4}\right) e^{-2x} \) 需验证,标准答案为直接给出最终数值结果。学生未正确计算出积分表达式,存在逻辑错误。扣2分,得2分。
(3)求导与极值分析(满分6分)
学生试图对 \( V(t) \) 求导以找最大值,但求导过程复杂且结果 \( V'(t) = (4e^{-4t} - t e^{-2t}) \cdot \pi \) 与标准答案 \( \pi t e^{-2t}(4e^{-2t} - 1) \) 不一致,存在逻辑错误。学生令 \( e^{-2t} = t/4 \) 求解临界点,但未解出 \( t = \ln 2 \),也未分析单调性。此外,学生错误陈述 \( V(t) \to 0 \) 时取最大值(应为 \( V'(t) = 0 \)),并误写边界条件(如 \( V(t) > 0 \) 与 \( V(t) = 0 \) 矛盾)。基于多重逻辑错误,扣4分,得2分。
题目总分:2+2+2=6分
登录后发布评论
暂无评论,来抢沙发