2020年考研数学(二)考试试题 - 第15题回答
高等数学
发布于2025年11月20日 15:07
阅读数 296

评分及理由
(1)得分及理由(满分10分)
学生作答存在以下问题:
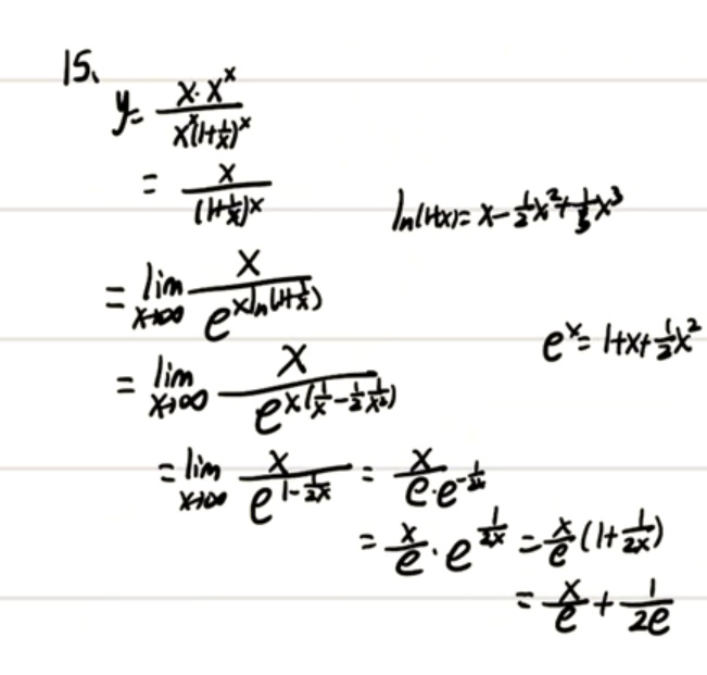
- 题目要求求斜渐近线方程,但学生只计算了极限 \(\lim_{x\to\infty} y\),没有按照斜渐近线的标准步骤(先求斜率k,再求截距b)进行。这是一个严重的逻辑错误,因为斜渐近线需要两个参数k和b,而学生只给出了一个极限表达式。
- 在第一次识别中,学生错误地将原函数写为 \(y=\frac{x\cdot x^{x}}{x^{(1+\frac{1}{x})^{x}}}\),这与原函数 \(y=\frac{x^{1+x}}{(1+x)^{x}}\) 不符。虽然经过化简后得到了 \(\frac{x}{(1+\frac{1}{x})^{x}}\),但初始表达式错误。
- 在计算过程中,学生直接将极限结果写为 \(\frac{x}{e}+\frac{1}{2e}\),这实际上是将函数本身近似为渐近线,而不是求渐近线的截距b。
由于没有正确理解斜渐近线的求解方法,且存在严重的逻辑错误,扣8分。
得分:2分
题目总分:2分
登录后发布评论
暂无评论,来抢沙发