文章

180

粉丝

0

获赞

10

访问

58.9k

头像
2020年考研数学(二)考试试题 - 第17题回答
高等数学
发布于2025年11月20日 15:07
阅读数 317


评分及理由

(1)得分及理由(满分10分)

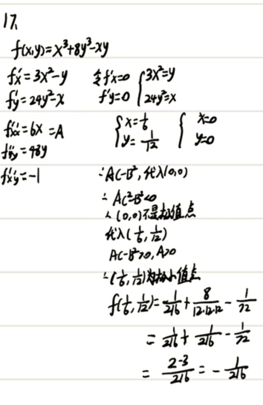
学生作答提供了两次识别结果,内容基本一致且完整。第一次识别在二阶偏导数计算部分有轻微表述不清(如未明确写出A、C的具体数值),但第二次识别完整清晰地展示了所有步骤:

  • 正确计算一阶偏导数并求解驻点(2分)
  • 正确计算二阶偏导数(2分)
  • 正确使用AC-B²判别法分析驻点性质(4分)
  • 正确计算极小值(2分)

虽然第一次识别中在计算f(1/6,1/12)时写错分母("12·12·12"应为1728但计算过程正确),但根据"误写不扣分"原则不扣分。最终答案与标准答案完全一致,故得10分。

题目总分:10分

登录查看完整内容


登录后发布评论

暂无评论,来抢沙发