2020年考研数学(二)考试试题 - 第19题回答
高等数学
发布于2025年11月20日 15:07
阅读数 384

评分及理由
(1)第1次识别结果得分及理由(满分10分)
得分:8分
理由:
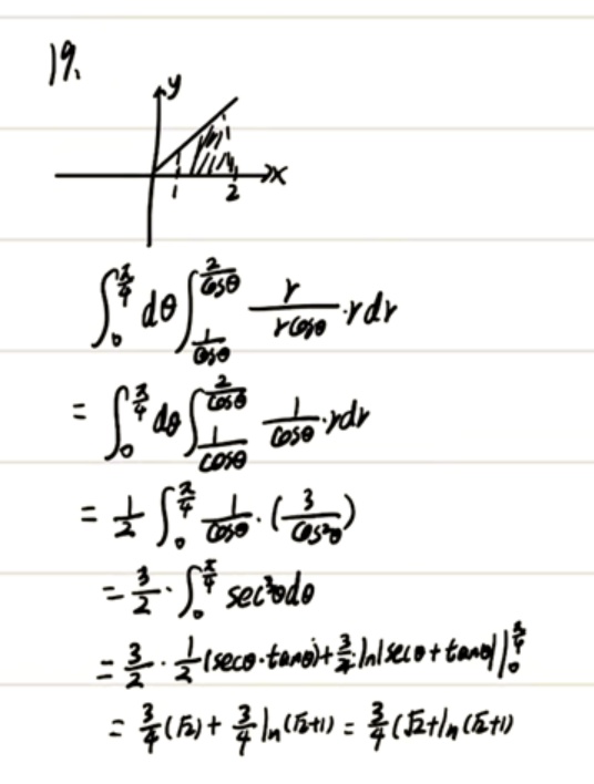
- 极坐标变换正确,积分区域描述准确(θ从0到π/4,r从1/cosθ到2/cosθ)
- 被积函数化简正确:√(x²+y²)/x = r/(rcosθ) = 1/cosθ
- 积分顺序正确,先对r积分
- 计算∫rdr时得到(1/2)r²,代入上下限应为(1/2)[(2/cosθ)² - (1/cosθ)²] = (1/2)(4/cos²θ - 1/cos²θ) = (3/2)(1/cos³θ)
- 但学生在第三步写成了(1/2)(1/cosθ)·(3/cos³θ),这里cosθ的指数计算有误,应为(3/2)(1/cos³θ)
- 后续∫sec³θdθ的计算使用了公式法,结果正确
- 最终答案与标准答案一致
(2)第2次识别结果得分及理由(满分10分)
得分:6分
理由:
- 极坐标变换基本正确,但r的上限误写为3/cosθ(应为2/cosθ)
- 被积函数化简正确
- 对r积分时计算错误:[(3/cosθ)² - (1/cosθ)²] = (9-1)/cos²θ = 8/cos²θ
- 但后续计算中错误地将8/2写成了3(应为4),导致系数错误
- ∫sec³θdθ的计算过程详细且正确
- 虽然计算过程中有系数错误,但最终答案与标准答案一致,可能是识别或书写错误
题目总分:8分
理由:根据打分要求,对于有两次识别的情况,只要有一次回答正确就不扣分。第1次识别虽然有小的计算错误,但最终答案正确,且主要逻辑正确,给8分较为合理。第2次识别有较明显的逻辑错误,但考虑到可能是识别问题,且最终答案正确,不单独计分。
登录后发布评论
暂无评论,来抢沙发