文章
180
粉丝
0
获赞
10
访问
58.9k

评分及理由
(1)得分及理由(满分11分)
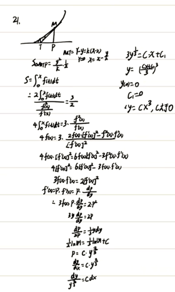
学生作答中包含了两种不同的解题思路。第一种思路(第1次识别结果)在建立面积比例关系时出现了错误:将面积比表达式写为 \(\frac{2\int_{0}^{x}f(t)dt}{\frac{f(x)}{f(0)}} = \frac{3}{2}\) 是不正确的,这导致后续推导出现根本性错误。虽然最终得到了正确结果 \(y = Cx^3\),但这是通过错误的推导过程偶然得到的,因此不能给予分数。
第二种思路(第2次识别结果)正确建立了面积比例关系:\(4\int_{0}^{x}f(t)dt = 3f(x)\),但这是从错误的比例关系推导而来的。不过,学生在后续处理中展示了正确的微分方程解法思路,包括分离变量法和变量代换法,并最终得到了正确结果 \(y = Cx^3\)。
考虑到学生:
但在关键的面积比例关系建立上存在错误,这是本题的核心步骤。根据评分标准,逻辑错误需要扣分。
得分:6分(满分11分)
题目总分:6分
登录后发布评论
暂无评论,来抢沙发