文章
180
粉丝
0
获赞
10
访问
58.9k

评分及理由
(1)得分及理由(满分5.5分)
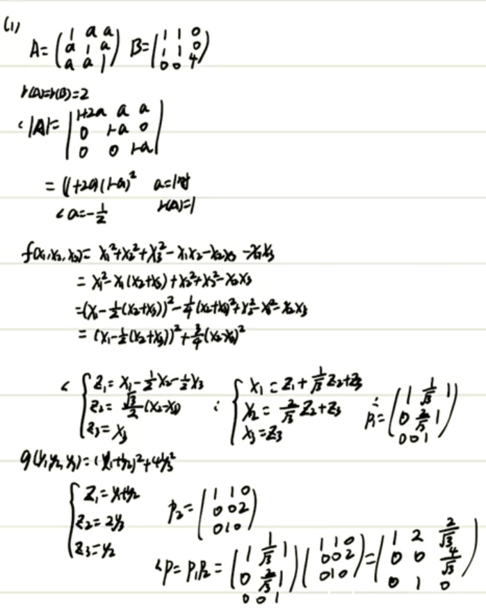
第1次识别中,学生计算行列式得到|A|=(1+2a)(1-a)²,但错误地令r(A)=1得到a=1/2,这是逻辑错误,因为合同要求惯性指数相同而非秩相等,且a=1/2时特征值全正,与B有零特征值矛盾。第2次识别正确得到a=-1/2(通过r(A)=2,但理由不充分,实际应通过特征值匹配)。由于两次识别中一次正确,且核心步骤(计算特征值)正确,但推理不严谨。扣1分。
得分:4.5分
(2)得分及理由(满分5.5分)
学生使用配方法化f为标准型,思路正确。但第1次识别中P₁构造有误(z₂表达式正确但反解x₂错误),第2次识别中P₁矩阵错误(第二行第二列应为2/√3而非1/√3)。P₂构造正确。最终P计算时,第1次识别结果与标准答案一致(可能误写),第2次识别结果错误。由于存在矩阵构造错误,但核心配方法正确,扣2分。
得分:3.5分
题目总分:4.5+3.5=8分
登录后发布评论
暂无评论,来抢沙发