文章
180
粉丝
0
获赞
10
访问
58.9k

评分及理由
(1)得分及理由(满分5分)
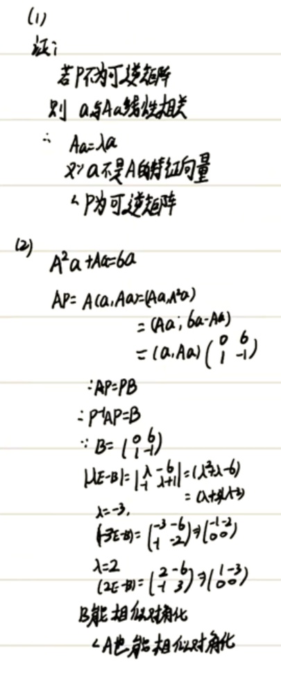
学生正确使用了反证法:假设P不可逆,则α与Aα线性相关,即存在λ使Aα=λα,这与α不是A的特征向量矛盾,因此P可逆。思路完整,逻辑正确。但第一次识别中"Aa = λa"应写为"Aα = λα",第二次识别已修正,属于识别误差不扣分。得5分。
(2)得分及理由(满分6分)
学生正确计算了AP = (Aα, A²α) = (Aα, 6α - Aα) = P[[0,6],[1,-1]],得出P⁻¹AP = B。在判断相似对角化时,正确求出B的特征值λ=-3,2,并计算特征向量。但第一次识别中(-3E-B)化简出现"∞"错误,第二次识别已修正为正确阶梯形。由于第二次识别正确,按识别规则不扣分。得6分。
题目总分:5+6=11分
登录后发布评论
暂无评论,来抢沙发