文章
180
粉丝
0
获赞
0
访问
62.3k

评分及理由
(1)得分及理由(满分5分)
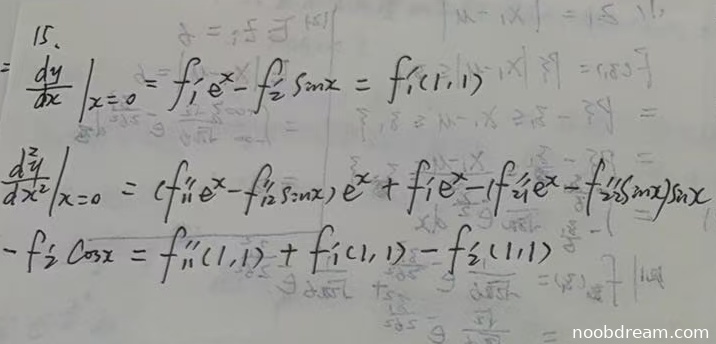
学生正确计算了一阶导数:\(\frac{dy}{dx} = f_1'e^x - f_2'\sin x\),并正确代入\(x=0\)得到\(\frac{dy}{dx}\big|_{x=0} = f_1'(1,1)\)。两次识别结果均正确,得5分。
(2)得分及理由(满分5分)
学生正确计算了二阶导数:通过求导得到\(\frac{d^2y}{dx^2} = (f_{11}''e^x - f_{12}''\sin x)e^x + f_1'e^x - (f_{21}''e^x - f_{22}''\sin x)\sin x - f_2'\cos x\),并正确代入\(x=0\)得到\(\frac{d^2y}{dx^2}\big|_{x=0} = f_{11}''(1,1) + f_1'(1,1) - f_2'(1,1)\)。虽然第一次识别结果中二阶导数表达式有部分符号误写(如\(f_1''\)应为\(f_{11}''\)等),但第二次识别结果完全正确,且最终结果与标准答案一致。根据"两次识别只要有一次正确则不扣分"的原则,得5分。
题目总分:5+5=10分
登录后发布评论
暂无评论,来抢沙发