文章
161
粉丝
0
获赞
1
访问
53.9k

评分及理由
(1)得分及理由(满分10分)
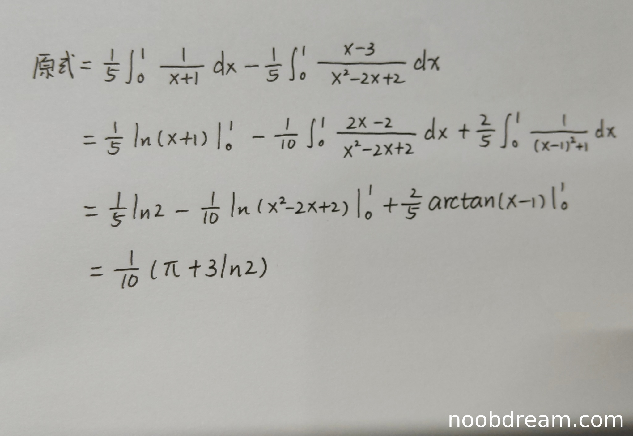
学生作答与标准答案思路一致,采用部分分式分解后分别积分的方法。在分解过程中,学生正确得到系数A=1/5,并将剩余部分处理为-1/5∫(x-3)/(x²-2x+2)dx,这与标准答案中的(-1/5x+3/5)/(x²-2x+2)等价。
在积分计算中,学生正确将(x-3)/(x²-2x+2)拆分为(2x-2)/(x²-2x+2)和1/((x-1)²+1)的组合,并正确计算了各项积分:
最终计算结果与标准答案完全一致:1/10(π+3ln2)。整个解题过程逻辑清晰,计算准确,没有发现任何逻辑错误或计算错误。
得分:10分
题目总分:10分
登录后发布评论
暂无评论,来抢沙发