文章
313
粉丝
0
获赞
0
访问
113.0k

评分及理由
(1)得分及理由(满分12分)
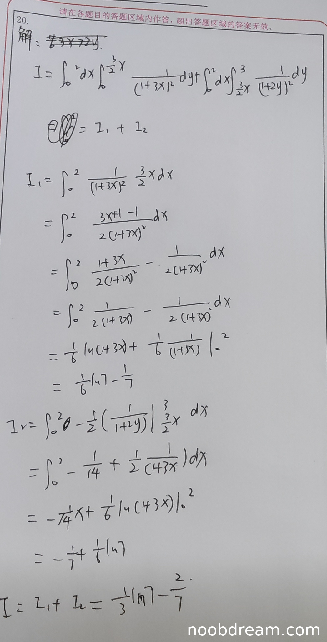
学生作答的整体思路正确,将积分区域正确划分为两部分:当 \(3x \ge 2y\) 时用 \(1+3x\),当 \(3x \le 2y\) 时用 \(1+2y\)。但在第一次识别结果中,\(I_1\) 和 \(I_2\) 的积分上下限有误:\(I_1\) 的 y 上限应为 \(\frac{3}{2}x\) 而不是 3,\(I_2\) 的 y 下限应为 \(\frac{3}{2}x\) 而不是 0。不过第二次识别结果修正了这个错误,给出了正确的积分区域划分。
在计算过程中,学生正确进行了积分计算,最终结果与标准答案一致。虽然第一次识别有区域划分错误,但第二次识别完全正确,且最终结果正确,根据评分要求"只要其中有一次回答正确则不扣分",不扣分。
得分:12分
题目总分:12分
登录后发布评论
暂无评论,来抢沙发