文章
268
粉丝
0
获赞
0
访问
89.5k

评分及理由
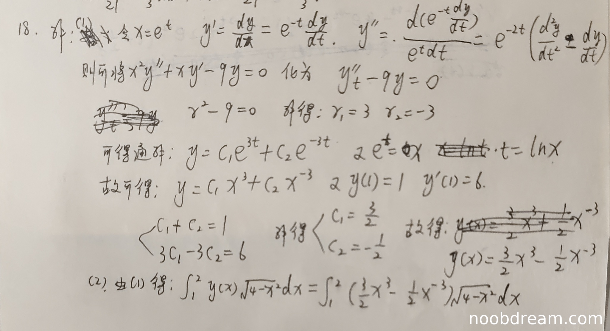
(1)得分及理由(满分6分)
学生正确使用了变换 \(x = e^t\) 并推导出了化简后的方程 \(y''_t - 9y = 0\),特征方程求解和通解形式正确。但在利用初始条件时,将 \(y(1) = 2\) 误写为 \(y(1) = 1\),导致后续常数求解错误。具体步骤:
本部分得分:3 + 1 - 2 = 2分。
(2)得分及理由(满分6分)
学生基于第(1)问的错误结果写出了积分表达式 \(\int_{1}^{2} \left( \frac{3}{2}x^{3} - \frac{1}{2}x^{-3} \right) \sqrt{4 - x^{2}} \, dx\),但未进行具体计算。由于积分表达式依赖于第(1)问的结果,且未完成计算,无法得分。
本部分得分:0分。
题目总分:2+0=2分
登录后发布评论
暂无评论,来抢沙发