文章
116
粉丝
0
获赞
5
访问
43.9k

评分及理由
(1)得分及理由(满分11分)
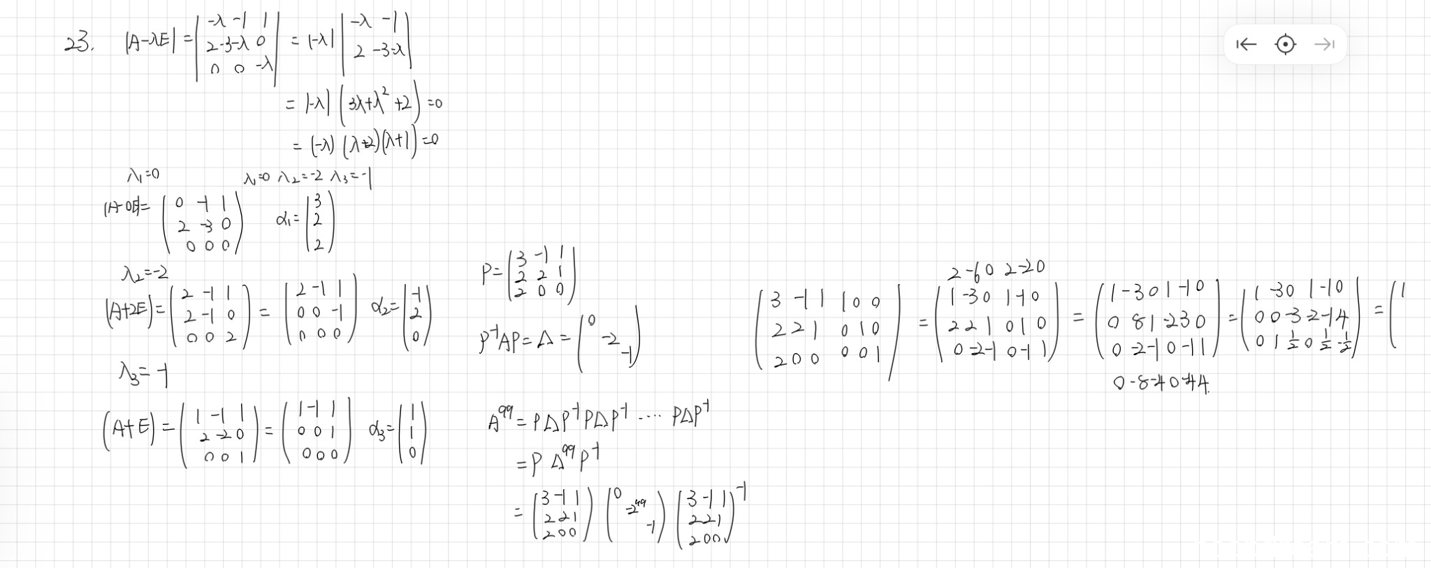
学生正确计算了特征值:λ₁=0, λ₂=-2, λ₃=-1,与标准答案一致(顺序不同不影响)。特征向量的计算基本正确:α₁=(3,2,2)ᵀ, α₂=(1,2,0)ᵀ, α₃=(1,1,0)ᵀ,虽然与标准答案形式不同但都是正确的特征向量。
学生正确构造了相似变换矩阵P,并理解了A⁹⁹ = PΛ⁹⁹P⁻¹的计算方法。但在具体计算P⁻¹和最终矩阵乘法时,过程不完整且存在计算错误(如P⁻¹的计算过程混乱)。
由于核心思路正确,特征值特征向量计算正确,相似对角化方法正确,但最终结果计算不完整且存在错误,扣3分。
得分:8分
(2)得分及理由(满分0分)
学生作答中完全没有涉及第二问的内容,没有对B¹⁰⁰与BA⁹⁹关系的推导,也没有给出β₁, β₂, β₃用α₁, α₂, α₃的线性组合表示。
由于完全缺失第二问的解答,得0分。
得分:0分
题目总分:8+0=8分
登录后发布评论
暂无评论,来抢沙发