文章
239
粉丝
0
获赞
1
访问
75.2k

评分及理由
(1)得分及理由(满分5.5分)
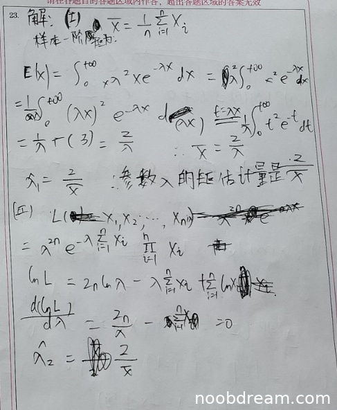
学生正确计算了总体一阶矩 E(X) = 2/λ,并令其等于样本均值,得到矩估计量 λ̂ = 2/X̄。计算过程完整,结果正确。但在第一次识别中,将题目编号误写为(E)和(F),根据禁止扣分规则第1条,这种识别错误不扣分。得满分5.5分。
(2)得分及理由(满分5.5分)
学生正确构建了似然函数 L(λ) = λ²ⁿe^(-λ∑xᵢ)∏xᵢ,取对数后求导,得到最大似然估计量 λ̂ = 2/X̄。虽然在第一次识别中似然函数写成了 λⁿe^(-λ∑xᵢ)∏xᵢ,但后续计算中使用了正确的2n系数,且第二次识别完全正确。根据禁止扣分规则第3条,只要有一次识别正确就不扣分。得满分5.5分。
题目总分:5.5+5.5=11分
登录后发布评论
暂无评论,来抢沙发