文章
302
粉丝
0
获赞
15
访问
131.6k

评分及理由
(1)得分及理由(满分3分)
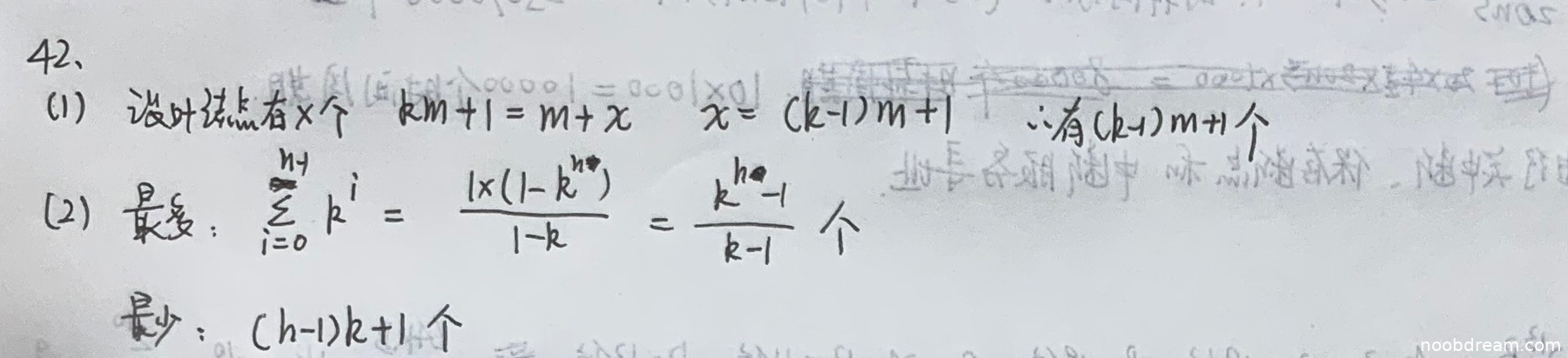
学生答案正确推导出叶结点数量为 \((k-1)m+1\),推导过程与标准答案一致:利用结点总数 \(n = m + x\) 和边数关系 \(km = n - 1\) 联立得到方程 \(km + 1 = m + x\),解得 \(x = (k-1)m + 1\)。逻辑完整且正确,得满分3分。
(2)得分及理由(满分5分)
学生答案中最多结点数部分:第一次识别结果中求和上限写为 \(n-1\)(疑似笔误),但第二次识别结果已修正为 \(h-1\),并正确给出求和公式 \(\sum_{i=0}^{h-1} k^i = \frac{k^h-1}{k-1}\),与标准答案一致。最少结点数部分正确给出 \((h-1)k + 1\),推导合理(每层除一个分支结点外其余为叶结点,共 \(h-1\) 层非根层每层 \(k\) 个结点,加上根结点)。但标准答案中最多结点部分占3分,最少结点部分占2分,学生答案两部分均正确,得满分5分。
题目总分:3+5=8分
登录后发布评论
暂无评论,来抢沙发