2014年考研数学(二)考试试题 - 第20题回答
高等数学2
发布于2025年11月27日 21:21
阅读数 352

评分及理由
(1)得分及理由(满分11分)
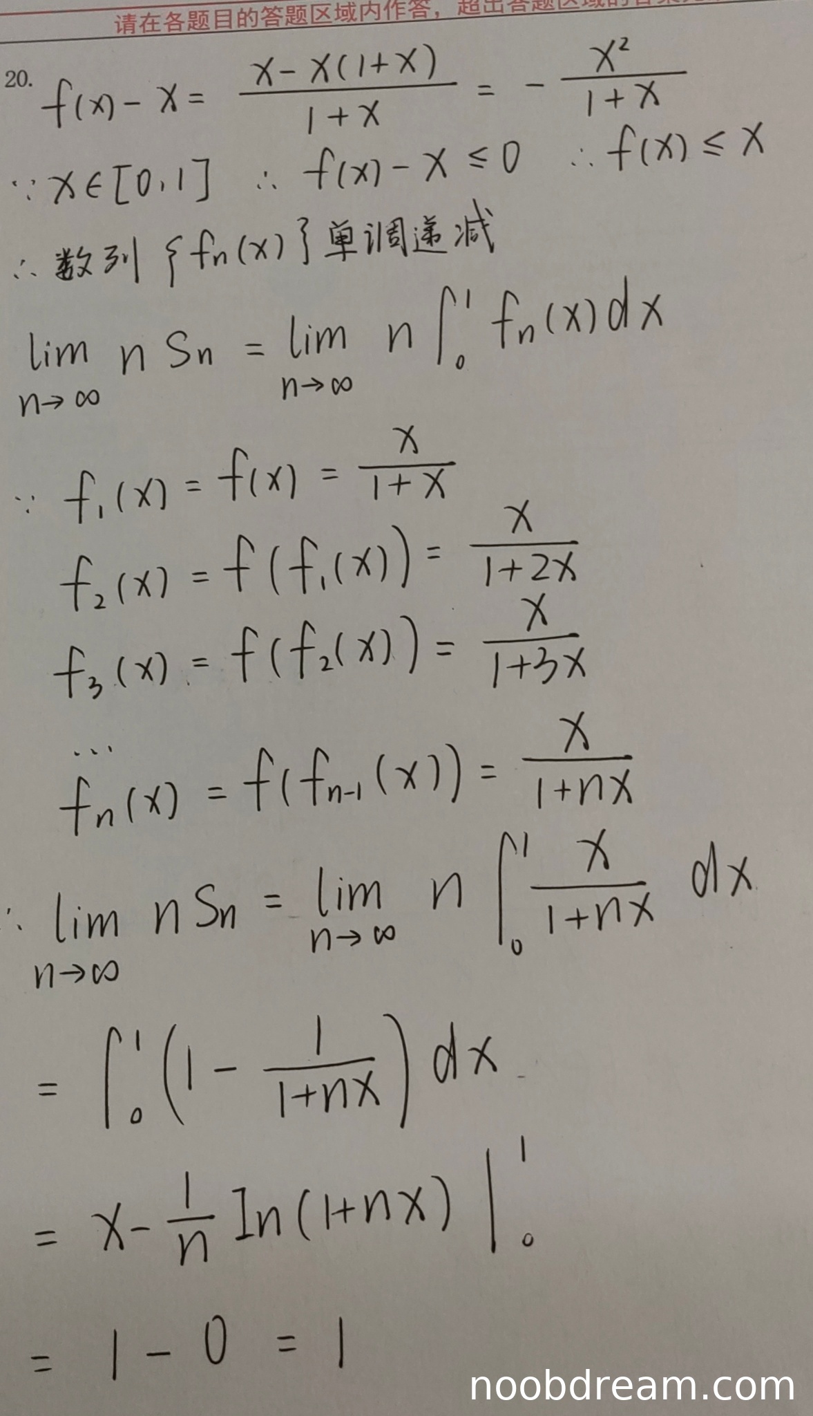
学生作答整体思路正确,主要步骤完整:
- 正确判断了 \(f(x) \leq x\) 的关系(虽然对后续解题并非必要,但不影响评分)
- 正确推导出 \(f_n(x) = \frac{x}{1+nx}\) 的表达式
- 正确写出 \(S_n = \int_0^1 f_n(x)dx\) 并代入表达式
- 积分计算过程正确:\(\int_0^1 \frac{x}{1+nx}dx = \int_0^1 (1-\frac{1}{1+nx})dx = 1 - \frac{1}{n}\ln(1+n)\)
- 极限计算正确:\(\lim_{n\to\infty} nS_n = \lim_{n\to\infty} [n - \ln(1+n)] = 1\)
虽然学生将 \(n\int_0^1 \frac{x}{1+nx}dx\) 直接写成 \(\int_0^1 \frac{nx}{1+nx}dx\) 然后积分,这与标准答案先积分再乘n的步骤顺序不同,但数学上是等价的,属于正确的解题思路。
最终答案正确,主要逻辑无错误。
扣分项:无
得分:11分
题目总分:11分
登录后发布评论
暂无评论,来抢沙发