文章
108
粉丝
0
获赞
0
访问
36.7k

评分及理由
(1)得分及理由(满分6分)
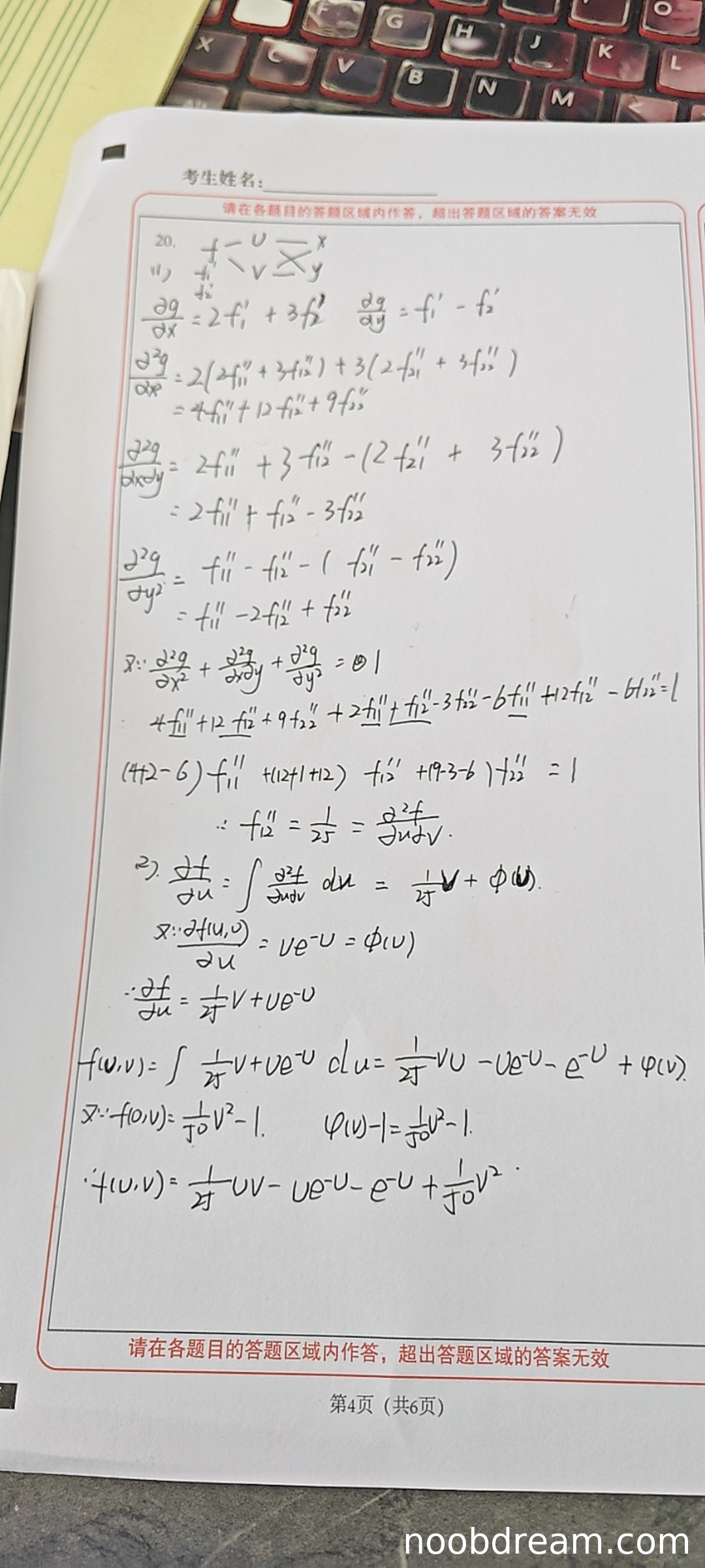
学生第一次识别结果中,正确计算了g(x,y)的一阶和二阶偏导数,代入原方程后得到25f_{12}''=1,从而得出∂²f/∂u∂v=1/25。思路和计算完全正确。第二次识别结果中,虽然变量替换有误(v=3x-y误写为v=x-y),但在偏导数计算中仍然使用了正确的系数(如∂g/∂x=2f₁'+3f₂'),最终也得出f_{12}''=1/25。由于两次识别中至少有一次完全正确,根据禁止扣分规则第3条,不扣分。得6分。
(2)得分及理由(满分6分)
学生第一次识别结果中:
- 正确写出∂f/∂u = (1/25)v + φ(u)
- 但在使用条件∂f(u,0)/∂u = ue^{-u}时,错误地写成了∂f(u,v)/∂u = ve^{-u} = φ(u),这导致后续计算错误
- 积分后得到f(u,v) = (1/25)uv - ve^{-u} - e^{-u} + φ(v)
- 使用f(0,v)条件时,错误地写成了φ(v)-1 = (1/50)v²-1
第二次识别结果中:
- 同样错误地使用了∂f(u,v)/∂u = ve^{-u} = φ(v)
- 积分过程相同
- 在使用f(0,v)条件时,错误地写成了f(0,v) = (1/10)v²-1(应该是1/50v²-1)
主要错误在于未能正确使用∂f(u,0)/∂u = ue^{-u}这一条件,错误地将其推广到了∂f(u,v)/∂u。这是一个逻辑错误,导致后续计算全部错误。但由于学生基本思路正确(先对混合偏导积分,再使用边界条件),且部分计算正确,给予部分分数。扣3分,得3分。
题目总分:6+3=9分
登录后发布评论
暂无评论,来抢沙发