文章
115
粉丝
0
获赞
0
访问
36.2k

评分及理由
(1)得分及理由(满分10分)
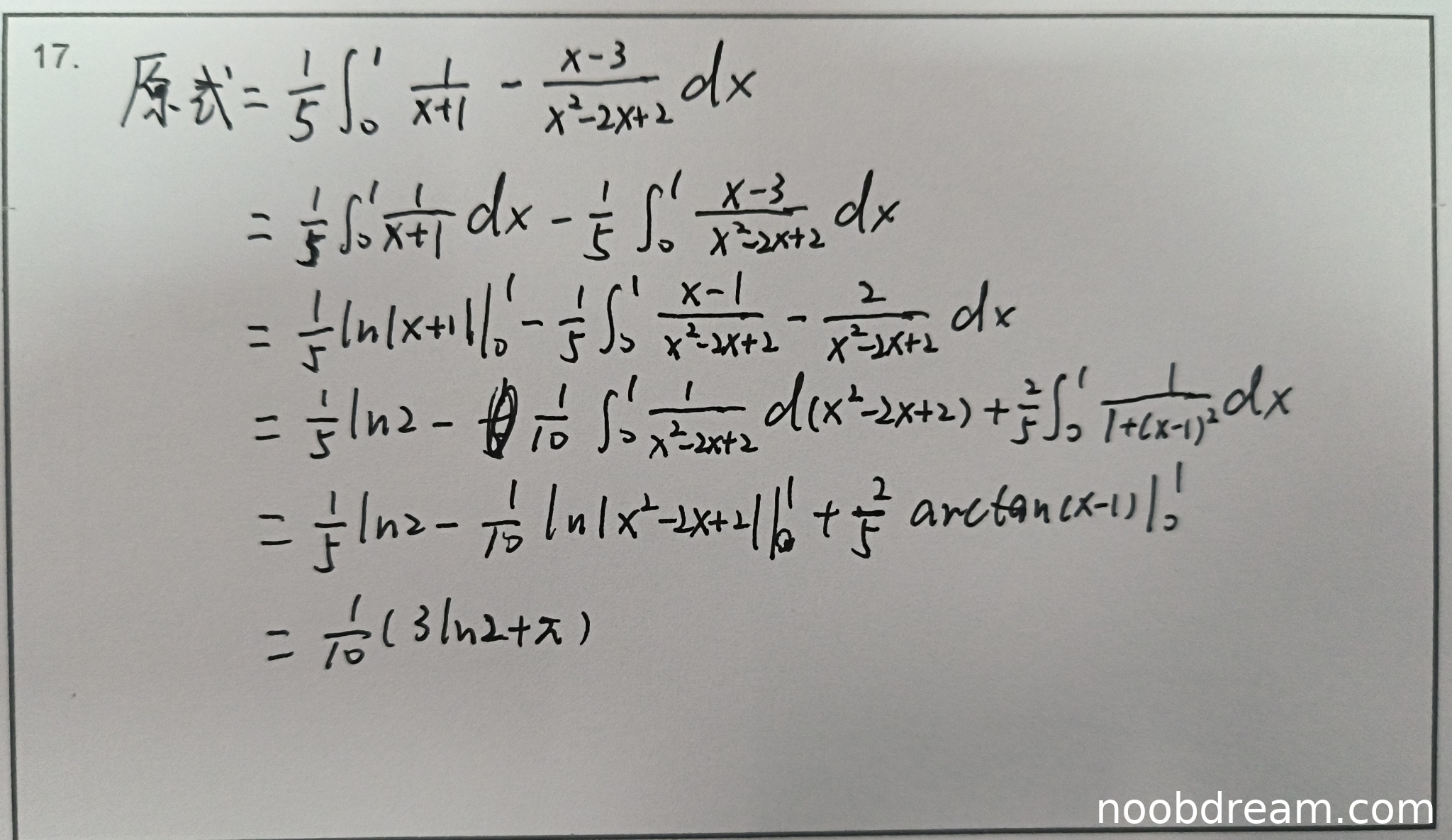
学生作答给出了两次识别结果,但两次内容本质相同,都是对原积分进行部分分式分解后分别计算。解题思路与标准答案完全一致:先分解为 \(\frac{A}{x+1} + \frac{Bx+C}{x^2-2x+2}\),然后分别积分。在计算过程中,学生正确得到了部分分式系数(第一次识别中写为 \(\frac{1}{5}\int_{0}^{1}\frac{1}{x+1}-\frac{x-3}{x^2-2x+2}dx\),这与标准答案中的 \(\frac{1/5}{x+1} + \frac{-\frac{1}{5}x+\frac{3}{5}}{x^2-2x+2}\) 等价,因为 \(-\frac{x-3}{5} = -\frac{1}{5}x + \frac{3}{5}\))。后续积分步骤正确,包括将分子拆分为 \((x-1)-2\),分别处理对数积分和反正切积分,代入上下限计算,最终结果 \(\frac{1}{10}(3\ln 2 + \pi)\) 与标准答案 \(\frac{3}{10}\ln 2 + \frac{1}{10}\pi\) 完全相同。
虽然第一次识别中出现了“17.”这样的可能误写(原题编号识别错误),以及个别符号书写风格差异,但根据“禁止扣分”规则,这些不影响核心逻辑的识别误差不扣分。整个解答过程逻辑清晰,计算无误,因此得满分10分。
题目总分:10分
登录后发布评论
暂无评论,来抢沙发