文章
337
粉丝
0
获赞
0
访问
121.2k

评分及理由
(I)得分及理由(满分5分)
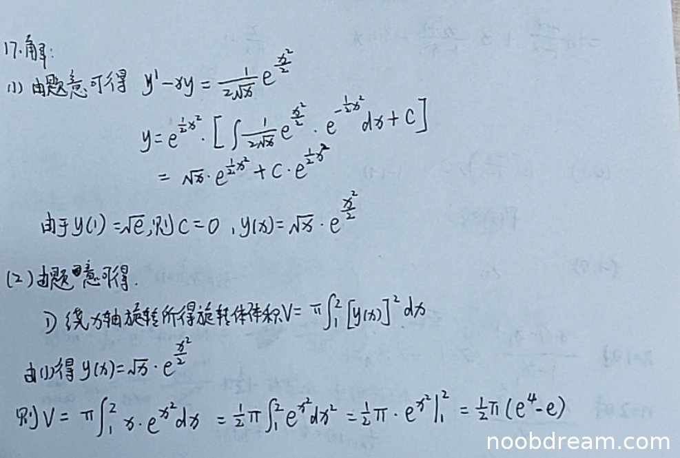
学生正确识别出微分方程为一阶线性微分方程,并使用了常数变易法(积分因子法)求解。解题过程清晰:先写出通解公式,代入已知函数并正确化简积分,得到含常数C的通解。随后利用初始条件 y(1)=√e 正确求出常数 C=0,最终得到特解 y(x)=√x * e^(x²/2)。此结果与标准答案完全一致。
因此,本小题得满分 5 分。
(II)得分及理由(满分5分)
学生正确写出了绕x轴旋转体体积公式 V = π∫[y(x)]² dx,并正确代入由第(I)部分求得的 y(x)。计算 [y(x)]² = x * e^(x²) 正确。积分过程正确:通过凑微分法,将 ∫x e^(x²) dx 转化为 (1/2)∫e^(x²) d(x²),并正确积分得到 (1/2)e^(x²)。最后代入上下限 x=2 和 x=1,得到结果 (1/2)π(e⁴ - e),与标准答案完全一致。
因此,本小题得满分 5 分。
题目总分:5+5=10分
登录后发布评论
暂无评论,来抢沙发