文章
337
粉丝
0
获赞
0
访问
121.2k

评分及理由
(1)得分及理由(满分10分)
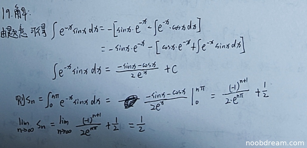
学生作答存在逻辑错误。题目要求的是曲线 \(y=e^{-x} \sin x\) 在区间 \([0, n\pi]\) 上与 x 轴所围图形的面积。面积应为函数绝对值的积分,即 \(S_n = \int_{0}^{n\pi} |e^{-x} \sin x| \, dx\)。然而,学生直接计算了定积分 \(\int_{0}^{n\pi} e^{-x} \sin x \, dx\),这忽略了 \(\sin x\) 在区间上正负交替的特性,导致结果错误。因此,核心逻辑错误,不能给满分。
具体计算过程:学生的积分计算本身是正确的,得到了原函数 \(\frac{-\sin x - \cos x}{2e^{x}}\),并算出了 \(\int_{0}^{n\pi} e^{-x} \sin x \, dx = \frac{(-1)^{n+1}}{2e^{n\pi}} + \frac{1}{2}\)。但这不是所围图形的面积 \(S_n\)。
由于面积计算的基本概念出现错误,本题扣分较多。考虑到学生后续的极限计算是基于其错误的面积表达式进行的,但极限计算过程本身无误,因此给予部分步骤分。
得分:4分 (满分10分)。扣分理由:主要逻辑错误(面积概念错误,未取绝对值),导致最终答案错误。
题目总分:4分
登录后发布评论
暂无评论,来抢沙发