2017年考研数学(二)考试试题 - 第17题回答
高等数学2
发布于2025年12月2日 11:44
阅读数 295

评分及理由
(1)得分及理由(满分10分)
学生作答得分为:10分。
理由:
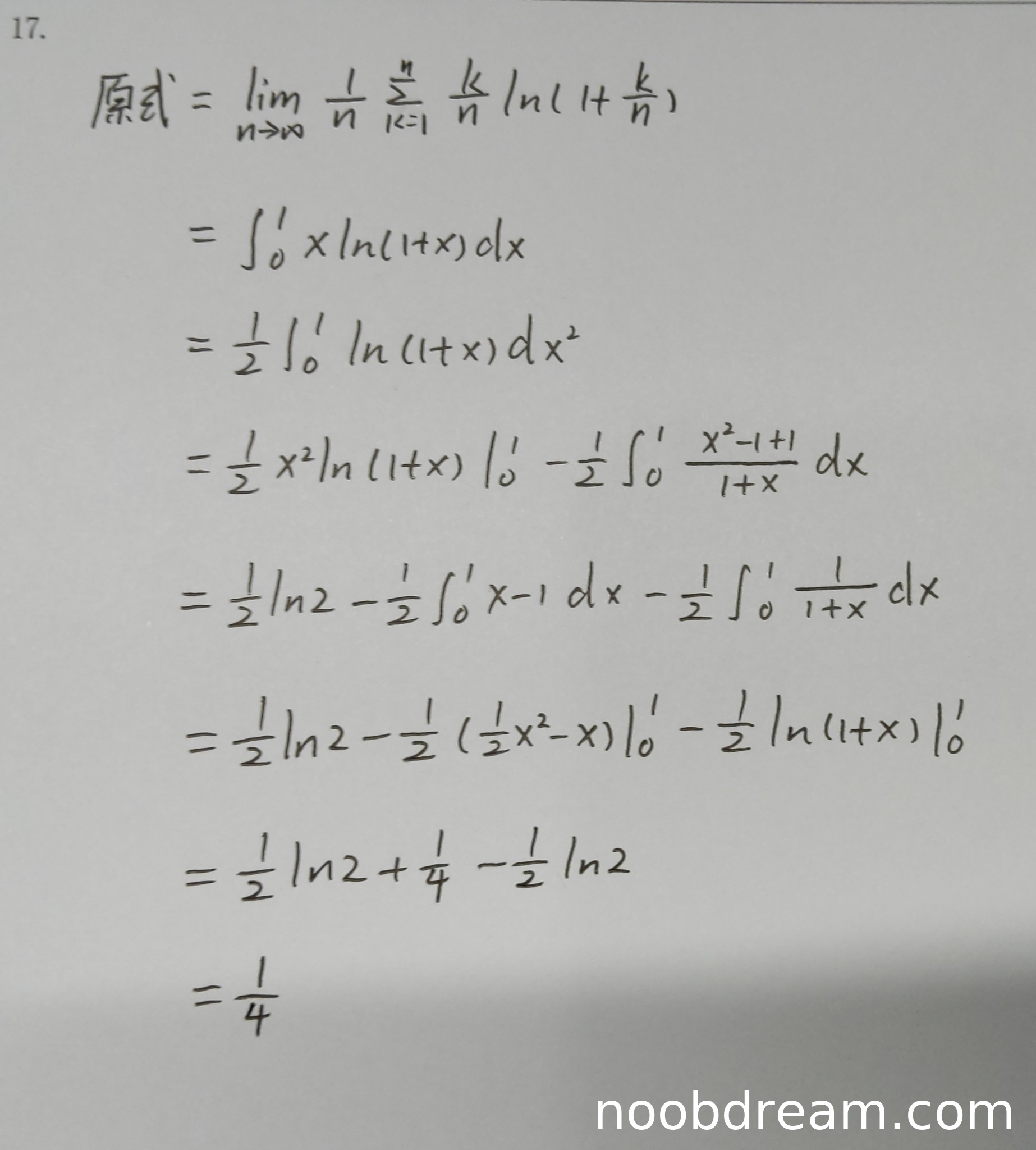
- 核心思路与步骤完全正确:学生准确地将极限问题转化为定积分 \(\int_{0}^{1} x \ln(1+x) dx\),这是解题的关键且正确。
- 计算过程正确无误:学生使用分部积分法进行计算,步骤清晰,分解 \(\frac{x^2}{1+x} = x - 1 + \frac{1}{1+x}\) 以及后续的积分计算均正确,最终得到正确答案 \(\frac{1}{4}\)。
- 无逻辑错误:整个解答过程逻辑连贯,没有出现概念性或计算性错误。
- 符合评分要求:根据“思路正确不扣分”的原则,学生解答与标准答案方法一致且结果正确,应给予满分。识别结果虽有两次呈现,但内容一致且正确,不存在需要扣分的误写或逻辑错误。
题目总分:10分
登录后发布评论
暂无评论,来抢沙发