文章
239
粉丝
0
获赞
1
访问
78.1k

评分及理由
(1)得分及理由(满分5分)
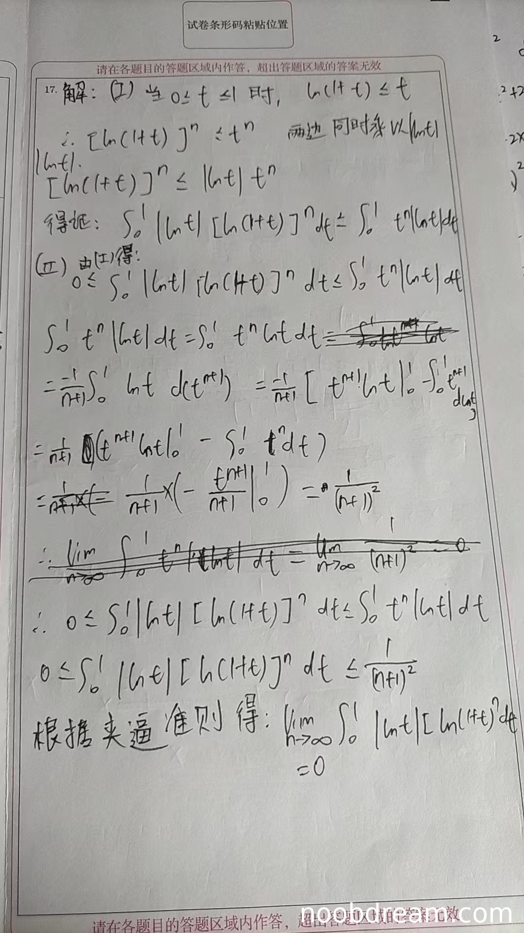
学生正确证明了当 \(0 \leq t \leq 1\) 时 \(\ln(1+t) \leq t\),从而得到 \([\ln(1+t)]^n \leq t^n\),并利用 \(|\ln t| \geq 0\) 得到积分不等式。但在第一次识别结果中,不等式右边写成了 \(\int_0^1 t|\ln t| dt\)(漏了指数 \(n\)),这是一个明显的逻辑错误(不等号右边应与左边同阶比较,漏指数会导致比较对象错误)。第二次识别结果中已修正为 \(\int_0^1 t^n |\ln t| dt\),且上下文表明是识别误差(第一次可能是误写)。根据“禁止扣分”第1、3条,若其中一次识别正确,则不扣分。因此本题逻辑正确,但第一次识别中的错误不扣分。得5分。
(2)得分及理由(满分5分)
学生正确利用(Ⅰ)的结论得到 \(0 \leq u_n \leq \int_0^1 t^n |\ln t| dt\),并计算了 \(\int_0^1 t^n |\ln t| dt = \frac{1}{(n+1)^2}\),进而由夹逼准则得到 \(\lim_{n\to\infty} u_n = 0\)。计算过程正确,思路与标准答案方法一一致。得5分。
题目总分:5+5=10分
登录后发布评论
暂无评论,来抢沙发