文章
161
粉丝
0
获赞
1
访问
54.3k

评分及理由
(Ⅰ)得分及理由(满分6分)
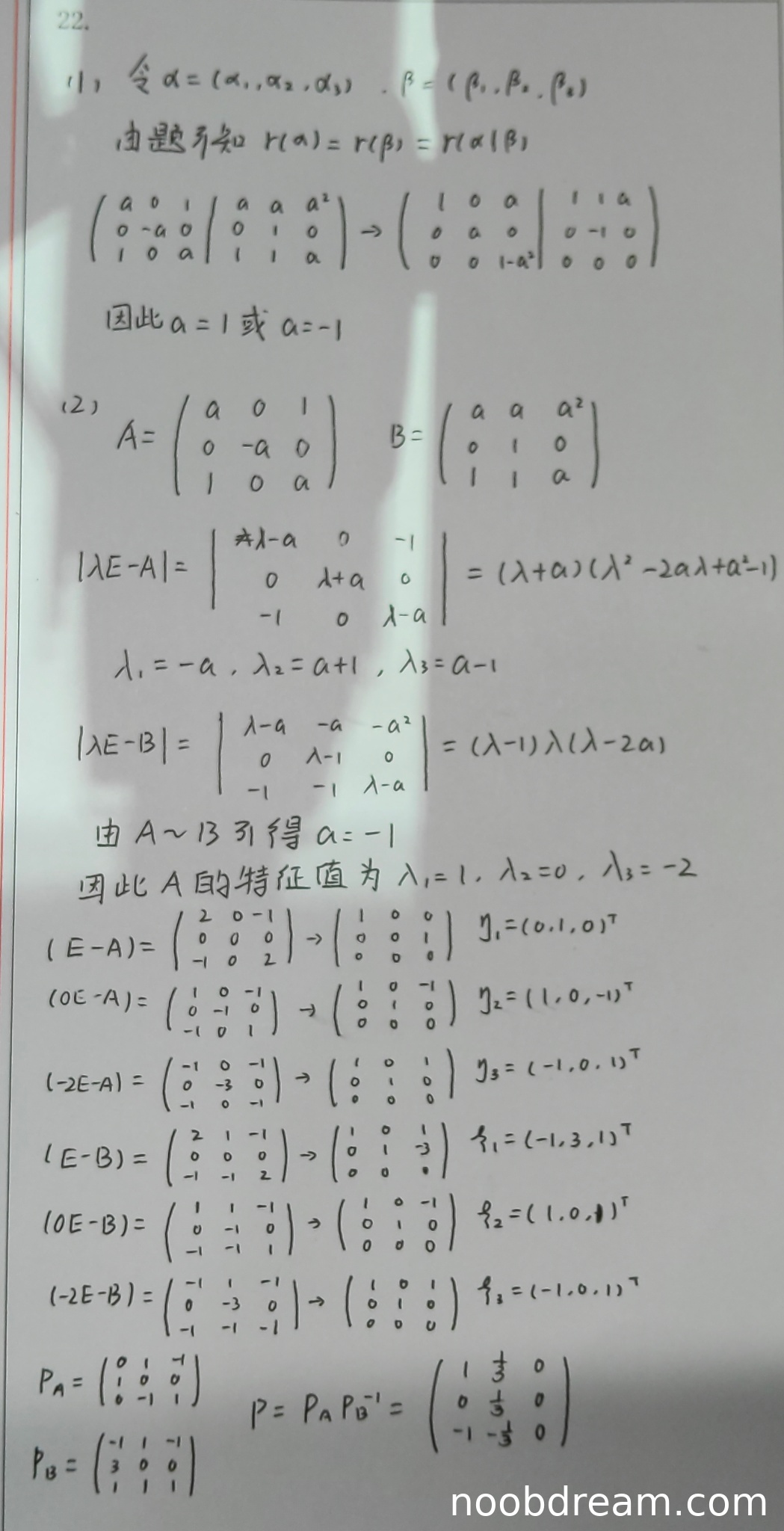
学生作答中,第1次识别结果与第2次识别结果均给出了正确的思路:利用向量组等价的条件,即两个向量组的秩相等且等于它们合并后矩阵的秩。学生通过初等行变换得到矩阵的秩为2,并由此推出|A|=0,解得a=±1,且验证了当a=±1时秩的条件成立。这一部分解答逻辑正确,计算无误。但第1次识别结果中变换后的矩阵书写有误(如“1 - a^2”位置不对),不过不影响最终结论;第2次识别结果中变换过程更清晰。根据标准答案,该小题满分6分,学生答案正确,因此得6分。
(Ⅱ)得分及理由(满分6分)
学生认识到若存在可逆矩阵P使P^{-1}AP=B,则A与B相似,进而推出秩相等,从而只讨论a=±1。当a=1时,通过迹不等判断不相似,正确;当a=-1时,计算特征值,得出A与B有相同特征值且互异,故相似,思路正确。但在具体求解特征向量和构造P时存在多处错误:
1. 特征向量求解有误:例如对于A的特征值1,学生给出的特征向量为(0,1,0)^T,但标准答案为(0,1,0)^T(此处一致,但后续计算中学生的P_A矩阵排列混乱)。
2. 构造的P_A、P_B矩阵与标准答案不一致,且P的计算结果明显错误(例如最后一行全零,矩阵不可逆)。
3. 第1次识别结果中P的计算过程混乱,第2次识别结果中P_A、P_B的构造也不正确,导致最终P错误。
尽管思路正确,但关键的计算步骤(特征向量、P的构造)存在严重错误,因此不能给满分。根据标准答案,该小题需正确求出a=-1并给出正确的P。学生正确求出a=-1,得部分分;但P计算错误,扣去相应分数。综合考虑,给予3分。
题目总分:6+3=9分
登录后发布评论
暂无评论,来抢沙发