文章
94
粉丝
0
获赞
0
访问
30.7k

评分及理由
(1)得分及理由(满分10分)
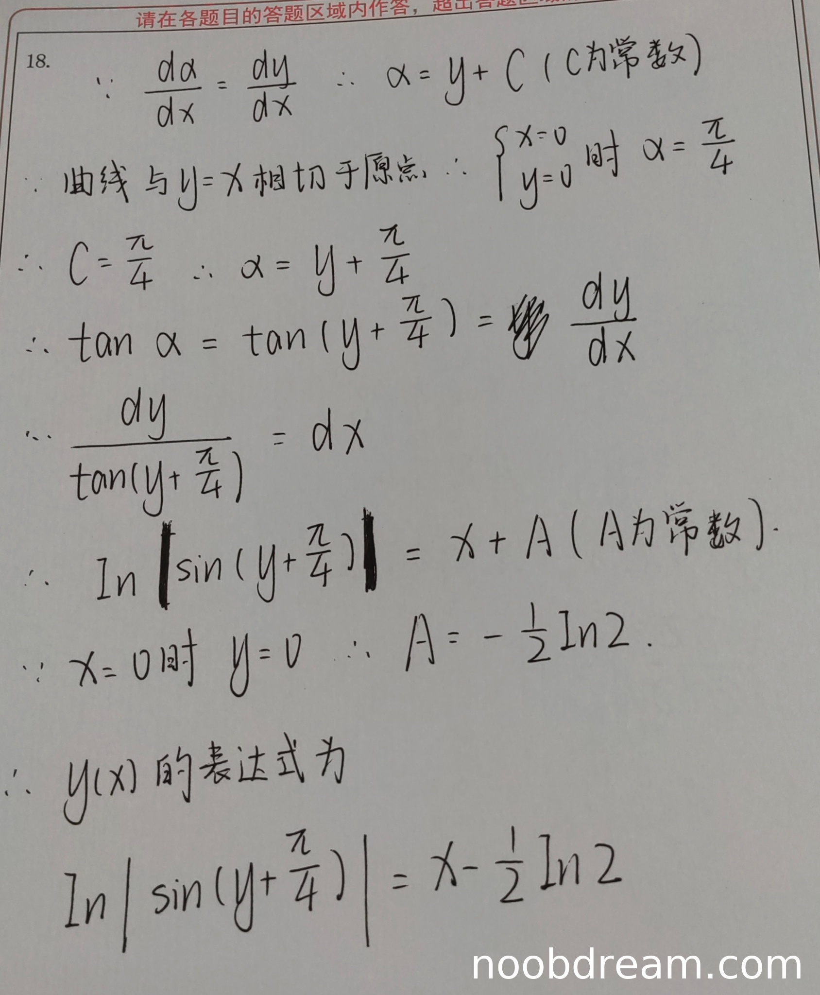
学生作答存在根本性逻辑错误。题目给出的条件是 \(\frac{d\alpha}{dx} = \frac{dy}{dx}\),学生直接将其积分得到 \(\alpha = y + C\),这是错误的。因为 \(\frac{d\alpha}{dx}\) 和 \(\frac{dy}{dx}\) 都是关于 \(x\) 的函数,对等式 \(\frac{d\alpha}{dx} = \frac{dy}{dx}\) 积分,得到的是 \(\alpha = y + C\) 吗?这只有在将 \(y\) 视为自变量时才成立,但这里 \(y\) 是 \(x\) 的函数,所以积分应为 \(\alpha = y + C\) 吗?实际上,对 \(\frac{d\alpha}{dx} = \frac{dy}{dx}\) 关于 \(x\) 积分,得到的是 \(\alpha = y + C\),但这里 \(\alpha\) 和 \(y\) 都是 \(x\) 的函数,所以这个积分在数学上是正确的。然而,学生后续的推导基于 \(\alpha = y + \frac{\pi}{4}\),这实际上跳过了建立正确微分方程的关键步骤。标准答案中,通过 \(\tan \alpha = y'\) 和 \(\frac{d\alpha}{dx} = y'\) 推导出 \(y'' = y' + (y')^3\),这是一个二阶微分方程。学生直接从 \(\frac{d\alpha}{dx} = \frac{dy}{dx}\) 积分得到 \(\alpha = y + C\),并利用初始条件确定常数,这相当于假设了 \(\alpha\) 和 \(y\) 之间存在线性关系,但题目条件并没有直接给出这个关系,这个关系是需要通过微分方程推导出来的。学生的做法本质上是将 \(\frac{d\alpha}{dx} = \frac{dy}{dx}\) 视为可分离变量的微分方程 \(\frac{d\alpha}{dy} = 1\),从而得到 \(\alpha = y + C\)。但这里 \(\frac{d\alpha}{dx} = \frac{dy}{dx}\) 不能直接推出 \(\frac{d\alpha}{dy} = 1\),因为 \(\frac{d\alpha}{dy} = \frac{...
登录后发布评论
暂无评论,来抢沙发