文章
22
粉丝
0
获赞
0
访问
650

评分及理由
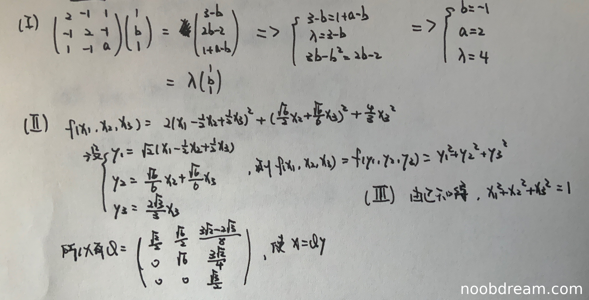
(Ⅰ)得分及理由(满分4分)
学生正确写出矩阵 A,并根据特征向量方程建立方程组,解得 a=2, b=-1, λ=4,且 b<0 满足条件。虽然推导过程中有笔误(如“2b - b^2 = 2b - 2”应为“2b - 2 = λb”),但最终结果正确,且两次识别结果一致。因此不扣分。
得分:4分
(Ⅱ)得分及理由(满分4分)
学生没有按照题目要求的“正交变换”方法化为标准型,而是使用了配方法。虽然配方法得到的标准型是 y₁²+y₂²+y₃²,但该标准型与正交变换所得标准型 y₁²+y₂²+4y₃² 不一致,说明配方法过程中存在计算错误(实际上配方法得到的系数应与特征值对应)。此外,学生未给出正交矩阵 Q,也未进行正交化、单位化步骤,与题目要求不符。因此该部分答案不正确。
得分:0分
(Ⅲ)得分及理由(满分4分)
学生给出的 Q 矩阵复杂且与正交变换无关,且未利用标准型与条件 xᵀx=1 的关系求最小值。因此思路和结果均错误。
得分:0分
题目总分:4+0+0=4分
登录后发布评论
暂无评论,来抢沙发