文章
34
粉丝
0
获赞
0
访问
163

评分及理由
(1)得分及理由(满分10分)
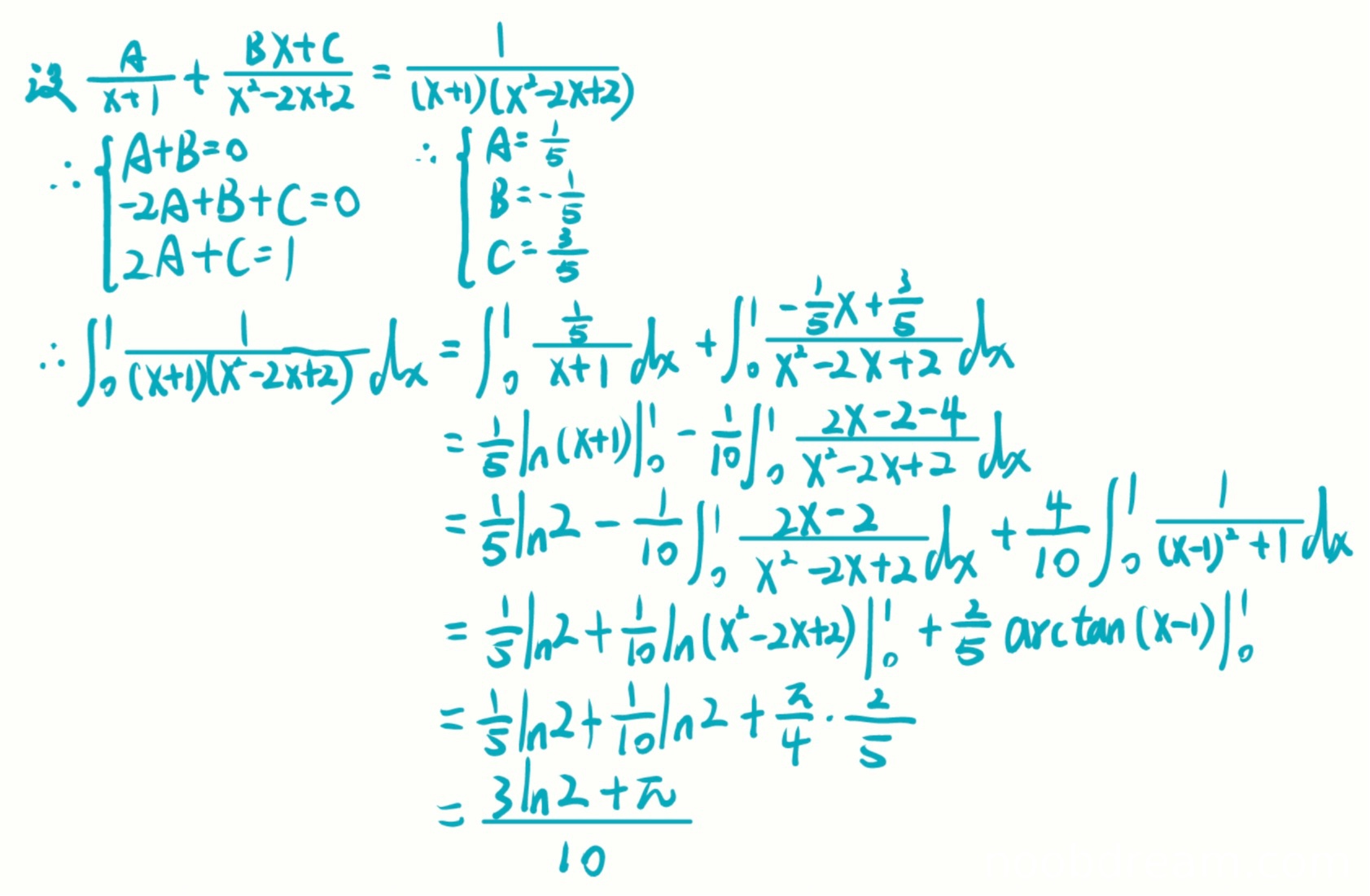
学生作答分为两次识别结果,内容实质相同。整体思路正确:先进行部分分式分解,然后分别积分。分解得到的系数 A=1/5, B=-1/5, C=3/5 与标准答案一致。积分过程中,对第二项的处理采用了拆分方法:将分子写成 (2x-2) 的倍数与常数项的组合,从而分别积分出对数项和反正切项。最终计算结果为 (3ln2+π)/10,与标准答案等价(标准答案为 3/10 ln2 + π/10,学生结果为 (3ln2+π)/10,两者相同)。
在第一次识别结果的中间步骤中,有一行出现符号错误:
“= 1/5 ln2 - 1/10 ∫(2x-2)/(x²-2x+2) dx + 4/10 ∫1/((x-1)²+1) dx”
下一步变为“= 1/5 ln2 + 1/10 ln(x²-2x+2)|₀¹ + 2/5 arctan(x-1)|₀¹”,这里实际上 -1/10 ∫(2x-2)/(…) dx 积分后应为 -1/10 ln(x²-2x+2),但学生写成了 +1/10 ln(x²-2x+2)。然而从后续代入上下限的结果看,学生实际计算时仍按正确符号处理(因为最终结果正确),所以可能是识别或书写时的笔误,且最终数值正确,根据“误写不扣分”原则,不因此扣分。
因此,本题答案完全正确,得满分10分。
题目总分:10分
登录后发布评论
暂无评论,来抢沙发