2025年考研数学(二)考试试题 - 第18题回答
高等数学2
发布于2025年12月7日 11:24
阅读数 9

评分及理由
(1)得分及理由(满分12分)
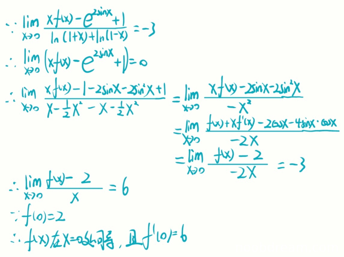
学生作答分为两次识别结果,但实质是同一解答过程的不同表述。整体思路正确:利用已知极限条件,通过等价无穷小替换和洛必达法则推导出 \( f'(0) \)。但解答中存在关键逻辑错误。
具体分析:
- 第一步由极限存在推出分子极限为0,正确。
- 第二步进行等价无穷小替换,将分母 \(\ln(1+x)+\ln(1-x)\) 展开为 \(-x^2 + o(x^2)\),将分子 \(e^{2\sin x}\) 展开为 \(1+2\sin x+2\sin^2 x+o(x^2)\),正确。
- 第三步应用洛必达法则时出现逻辑错误。在应用洛必达法则前,必须验证所求极限是 \(\frac{0}{0}\) 或 \(\frac{\infty}{\infty}\) 型未定式。学生从极限 \(\lim_{x \to 0} \frac{xf(x) - 2\sin x - 2\sin^2 x}{-x^2} = -3\) 直接对分子分母求导。然而,此时分子 \(xf(x) - 2\sin x - 2\sin^2 x\) 的极限是否为0并未得到证明。虽然已知 \(\lim_{x \to 0}(xf(x) - e^{2\sin x}+1) = 0\),且 \(e^{2\sin x} = 1+2\sin x+2\sin^2 x+o(x^2)\),这只能推出 \(\lim_{x \to 0}(xf(x) - 2\sin x - 2\sin^2 x) = 0\),但这是建立在忽略 \(o(x^2)\) 项的基础上,严格来说,需要先确定 \(f(x)\) 在 \(x=0\) 附近的行为才能保证分子是 \(x^2\) 的高阶无穷小吗?实际上,由已知极限值为-3(非零有限数)和分母为 \(-x^2\),可以反推出分子必须是 \(x^2\) 的同阶无穷小,即 \(\lim_{x \to 0} \frac{xf(x) - 2\sin x - 2\sin^2 x}{x^2}\) 存在。但这并不能直接作为应用洛必达法则的条件,因为法则要求分子分母导数后的极限存在(或为无穷)。学生在此步骤中直接对分子求导,并写入了 \(f'(x)\),这在逻辑上是不严谨的,因为此时尚未证明 \(f(x)\) 在 \(x=0\) 处可导,不能对含有 \(f(x)\) 的表达式直接求导。这是一个严...
登录后发布评论
暂无评论,来抢沙发