文章
34
粉丝
0
获赞
0
访问
153

评分及理由
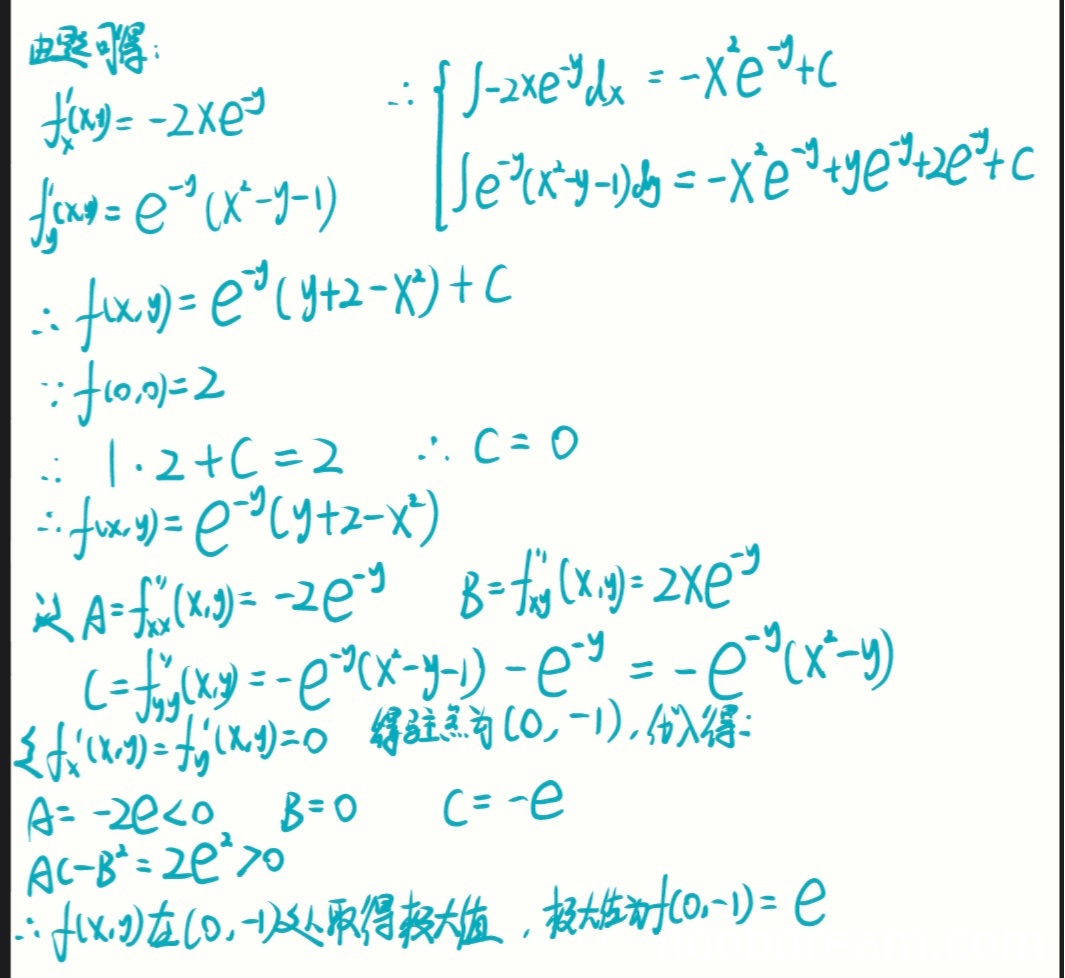
(1)求函数 \( f(x,y) \) 部分(满分6分)
学生正确写出偏导数 \( f_x = -2xe^{-y} \),并通过对 \( x \) 积分得到 \( f(x,y) = -x^2 e^{-y} + \varphi(y) \) 的形式(第一次识别中积分写法略有简化,但思路正确)。接着利用 \( f_y = e^{-y}(x^2 - y - 1) \) 确定 \( \varphi'(y) = -(y+1)e^{-y} \),积分得到 \( \varphi(y) = (y+2)e^{-y} + C \),代入初值 \( f(0,0)=2 \) 得 \( C=0 \),最终得到 \( f(x,y) = e^{-y}(y+2-x^2) \)。整个过程与标准答案一致,计算无误。因此该部分得满分6分。
(2)求极值部分(满分6分)
学生正确求出驻点:令 \( f_x=0 \) 得 \( x=0 \),代入 \( f_y=0 \) 得 \( y=-1 \),驻点为 \( (0,-1) \)。然后计算二阶偏导数:\( A = f_{xx} = -2e^{-y} \),\( B = f_{xy} = 2xe^{-y} \),\( C = f_{yy} = -e^{-y}(x^2-y) \)(注意:学生给出的 \( C \) 表达式与标准答案 \( e^{-y}(x^2-y) \) 差一个负号,但代入驻点后实际数值一致,均为 \( C = -e \),这可能是识别或书写时的符号误差,但未影响后续判断,根据“误写不扣分”原则,不扣分)。在驻点处计算 \( A = -2e \),\( B=0 \),\( C=-e \),得到 \( AC-B^2 = 2e^2 > 0 \) 且 \( A < 0 \),从而判定在 \( (0,-1) \) 处取得极大值,极大值为 \( f(0,-1)=e \)。推理过程完整且正确。因此该部分得满分6分。
题目总分:6+6=12分
登录后发布评论
暂无评论,来抢沙发