2025年考研数学(二)考试试题 - 第20题回答
高等数学2
发布于2025年12月7日 11:24
阅读数 11

评分及理由
(1)得分及理由(满分12分)
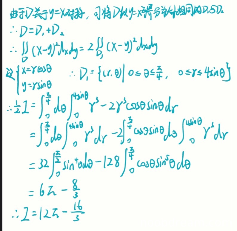
本题满分12分。学生作答的整体思路与标准答案一致:利用积分区域关于直线 \(y = x\) 的对称性,将原积分转化为在对称部分上积分的两倍,然后采用极坐标进行计算。最终计算结果正确。
具体分析:
- 对称性分析与区域划分:学生正确指出区域 \(D\) 关于 \(y = x\) 对称,并利用此性质将积分化为 \(2\iint_{D_1}(x - y)^2 dxdy\)。这一关键步骤正确,与标准答案思路一致。
- 极坐标变换:学生正确设 \(x = r\cos\theta, y = r\sin\theta\)。
- 积分区域 \(D_1\) 的极坐标表示:这是学生作答与标准答案的主要差异点。
- 第一次识别结果中,给出的区域为 \(0 \leq \theta \leq 3\pi/4, 0 \leq r \leq 4\sin\theta\)。这个描述是错误的,它描述的是圆 \(x^2 + (y-2)^2 \leq 4\) 在 \(y \leq x\) 部分(即 \(D_1\))的极坐标方程,但 \(r\) 的上限应为 \(4\sin\theta\),且 \(\theta\) 范围应为 \(0 \leq \theta \leq \pi/4\)。第一次识别中的 \(\theta\) 上限 \(3\pi/4\) 是错误的。
- 第二次识别结果中,给出的区域为 \(0 \leq \theta \leq \pi/4, 0 \leq r \leq 4\sin\theta\)。这个描述是正确的,它准确地描述了 \(D_1\)(即圆 \(x^2 + (y-2)^2 \leq 4\) 中满足 \(y \leq x\) 的部分)在极坐标下的表示。
- 根据题目要求“对学生作答进行了两次识别,只要其中有一次回答正确则不扣分”,且第二次识别结果正确,因此对于区域描述不扣分。
- 积分计算过程:
- 学生写出被积函数 \((x-y)^2 = r^2 - 2r^2\cos\theta\sin\theta\),积分体积元为 \(r dr d\theta\),因此被积式化为 \((r^3 - 2r^3\cos\theta\sin\theta) dr d\theta\),这一步正确。
...
登录后发布评论
暂无评论,来抢沙发