2024年考研数学(二)考试试题 - 第17题回答
高等数学2
发布于2025年12月17日 10:46
阅读数 430

评分及理由
(1)得分及理由(满分10分)
学生作答得分为 0 分。
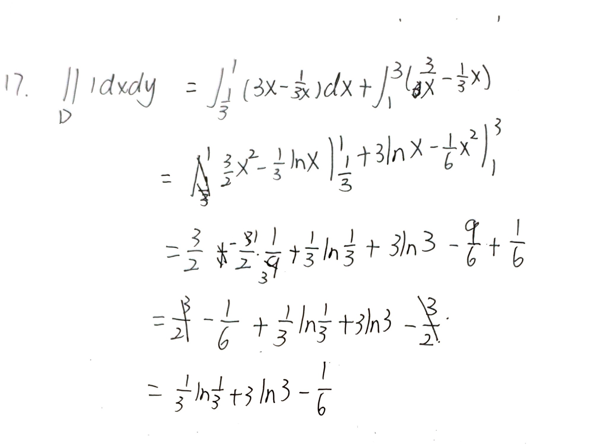
理由:本题要求计算二重积分 \(\iint_{D}(1 + x - y)dxdy\)。学生的解答过程存在根本性的逻辑错误。
- 错误理解被积函数:学生从第一步开始就将被积函数错误地视为常数1,计算的是 \(\iint_{D} 1 dxdy\),即区域D的面积。这与原题要求计算的 \(\iint_{D}(1 + x - y)dxdy\) 完全不同。这是一个严重的概念性错误,导致整个解题方向完全偏离。
- 积分区域划分与计算:尽管学生后续对区域D的面积计算(即 \(\iint_{D} 1 dxdy\))在思路上(先对y积分后对x积分)是正确的,并且计算过程基本无误,但由于其出发点(被积函数)是错误的,因此这部分计算对于本题而言没有意义,不能给予分数。
- 结论:学生的答案并非对原题的正确解答。根据打分要求中的“逻辑错误扣分”原则,此为核心逻辑错误,因此本题不能得分。
题目总分:0分
登录后发布评论
暂无评论,来抢沙发